部分组合框架-钢板剪力墙边框柱设计方法研究

于金光1,2,刘利明1,郝际平1,2

(1.西安建筑科技大学土木工程学院,陕西,西安 710055;2.西安建筑科技大学国家级土木工程虚拟仿真实验教学中心,陕西,西安 710055)

摘 要:该文通过对部分组合框架—薄钢板剪力墙结构的试验,发现其内嵌钢板破坏顺序为初始对角屈服、统一屈服和应变硬化三个阶段。引入部分组合柱后,有效改善了传统钢柱的弯扭失稳破坏模式,部分组合框架柱破坏模式为柱顶和柱底形成塑性铰的强度破坏。基于“强框架、弱墙板”的设计理念,该文根据叠加原理确定了统一屈服阶段和应变硬化阶段部分组合柱内力计算原则,提出了适用于部分组合框架-薄钢板剪力墙框架柱的设计方法。通过有限元验证表明:该设计方法能够有效地预测底层受压柱的破坏模式及其塑性铰出现的位置,能够为合理的钢板墙边框柱设计提供理论依据。

关键词:钢板剪力墙;部分组合框架;设计方法;试验研究;有限元模拟

钢板剪力墙结构是20世纪70年代发展起来的一种新型抗侧力结构体系,钢板剪力墙由内嵌钢板、竖向边缘构件(柱)和水平边缘构件(梁)构成,以往关于竖向边缘构件(柱)的研究多集中在以H形截面钢柱作为其竖向边缘构件,但H形截面钢柱在钢板拉力场的附加效应作用下,易发生过早的局部屈曲,使得框架柱发生弯扭失稳,失去对薄钢板墙的有效锚固,不利于薄钢板墙屈曲后性能的发挥[1-4],如图1所示。传统钢柱边框构件对框架柱平面内的截面惯性矩有限值要求[5],但是平面外的稳定性并没有得到保障[6-7]。为有效利用钢板墙的性能,墙板需形成均匀拉力场,而柱子作为钢板墙锚固端需要足够强的抗弯刚度来提供锚固作用[8]。此外,在中高层建筑中,钢板墙边框柱由于承担重力荷载以及由倾覆弯矩产生的轴向荷载,需要很大的轴压承载力。

图1 钢板墙纯钢柱破坏模式
Fig.1 Failure modes of steel columns in steel plate walls

20世纪90年代,Canam Group[9]提出了部分组合柱(partially encased composite columns,PEC),如图2所示,PEC是采用H型钢或热轧薄壁钢板作为钢骨,在翼缘和腹板间配置一定间距的横向拉结筋,浇筑混凝土而成的组合柱。Hanna等[10]对5个PEC柱进行偏压试验,将其与相同的纯钢构件进行对比,结果表明:PEC柱的承载力几乎是纯钢柱的3倍。Mehdi等[11]对PEC柱装配式钢板剪力墙结构进行了试验研究,结果表明试件有很高的初始刚度,良好的延性和抗震性能。Song等[12]对轴心荷载作用下的PEC柱进行了理论分析和有限元研究,提出了 PEC柱的屈曲强度和屈曲后强度计算公式。Begum等[13]研究了混凝土强度对PEC柱的影响,发现在轴心荷载作用下,选用高强度混凝土(60 MPa)的PEC柱承载力比低强度混凝土(30 MPa)的承载力可提高55%。方有珍等[14]对4个卷边薄壁钢板组合截面PEC柱(强轴)在恒定竖向荷载下进行了滞回性能试验研究,研究表明卷边薄壁钢板组合截面PEC柱具有较高的承载力和初始刚度,其滞回曲线随着加载的继续,趋向饱满,且所有试件后期承载力和变形能力基本相当。传光红、陈以一[15]通过在节点处设置隔板等措施,对部分填充式组合结构梁柱节点进行改进,并设计了2个试件,对其进行静力试验,试验表明:试件承载力未出现下降趋势,节点具有良好的延性。林德慧、陈以一[16]利用ABAQUS建立PEC柱模型,考察纵向钢筋、翼缘系杆、截面高宽比等因素对PEC柱稳定极限承载力的影响,根据有限元计算结果及参照钢结构设计标准,提出了适用于工程设计的轴压柱和单向压弯柱面内整体稳定的计算公式。赵根田等[17]对三个端板连接复合框架进行低周反复试验,分析了其力学性能指标。试验结果表明:框架具有良好的抗震性能,实现了利用塑性屈服耗能的设计目标,节点域填充混凝土降低了节点域柱腹板抗剪的需求。

图2 PEC柱示意图
Fig.2 Schematic of PEC column

综上可见,PEC柱具有良好的延性、滞回性能以及较高的承载力和初始刚度,并且具有 PEC柱的框架结构抗震性能良好。基于此,本文将PEC柱引入到钢板剪力墙结构中,以期成为钢板剪力墙结构发挥水平承载力提供强锚固、且可承担高轴压作用的边缘构件,解决纯钢柱弱刚度的内凹变形和稳定破坏。对PEC柱-薄钢板墙进行了试验研究,得出了PEC柱的破坏模式为柱顶和柱底形成塑性铰的强度破坏。因此,基于“强框架、弱墙板”的设计理念,本文首先确定了PEC柱翼缘屈曲承载力以及其等效抗弯刚度,然后采用了叠加原理确定了墙板统一屈服阶段和应变硬化阶段部分组合柱内力计算原则,从而提出了适用于部分组合框架-薄钢板剪力墙框架柱的设计方法,并通过了有限元验证。

1 试验概况

1.1 试件简介

设计一个 1∶3比例的两层半刚性部分组合框架-薄钢板剪力墙试件,上部两层为主体结构;下部增加设置层高H=300 mm的一半层框架,内填6 mm钢板墙,与周边框架梁、框架柱及刚性地梁连接,可看作上部2层结构的嵌固端;一层梁截面HN200×100×5.5×8,二层和底层梁截面 HN300×150×6.5×9,内嵌墙板厚度3.0 mm,鱼尾板截面尺寸_60×6,试件详情见图3。试件钢材全部采用Q235B,连接螺栓均采用10.9级摩擦型高强螺栓。柱截面选用普通型钢HN175×175×7.5×11填塞C30混凝土,连接柱翼缘的C型系杆直径8 mm,间距80 mm,每层柱上下1/5位置设置加密区,加密区间距40 mm,横向系杆轴线距离柱翼缘外边缘20 mm,如图4所示。

图3 试件详图
Fig.3 Details of specimen

图4 柱详图
Fig.4 Details of column

加载分为竖向加载和水平加载,竖向加载是利用两个2000 kN同步油压千斤顶,在柱顶施加轴压比为0.2的竖向荷载,每柱柱顶施加430 kN,如图5所示;根据文献[18]进行水平加载,水平加载是在顶梁中部设置加载端和加载横梁,利用 2个 1000 kN的MTS液压伺服器对称加载在横梁上,沿横梁中心线位置施加水平荷载,见图5,试件整体屈服前采用荷载控制,屈服后采用位移控制,以0.5倍的屈服位移为增量步长进行加载,每级加载循环3圈,直至试件破坏或承载力降低至峰值荷载的85%以下,则表示试件失效,停止加载,加载方案见图6。采用TDS630数据采集箱采集试验数据。试件材性如表1所示。

图5 试验加载装置
Fig.5 Test loading device

图6 加载方案
Fig.6 Loading scheme

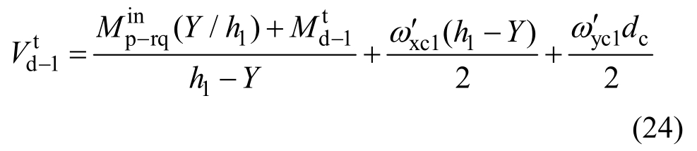
表1 试件材性
Table 1 Mechanical properties of specimens

注:C30混凝土抗压强度fc=35.6 N/mm2;弹性模量E=24809 N/mm2

试件部位 fy/(N/mm2)fu/(N/mm2)δ/(%)E/(×105N/mm2)柱子 285.00 446.67 27.60 1.94中梁 278.33 421.67 32.05 1.99顶、底梁 431.67 565.00 28.29 2.05内填板 339.17 466.67 28.68 2.15底层内填板 303.33 426.67 32.07 2.05横向系杆 570.00 646.67 10.68 1.81

1.2 滞回曲线

试件整体水平荷载-位移关系如图7。图7中包络线所示为推向加载时试件的骨架曲线。利用通用屈服弯矩法获得了试件屈服点(②点)、峰值点(③点)及极限点(④点)。图中①点为一层框架柱底钢柱边缘纤维屈服点。同时,图7中绘制了四个特征点对应试件一层西柱范围内混凝土的开裂情况。

试件在②点以前荷载上升较快,①点表明内填墙板对角屈服拉力带完全形成,屈服扩展至框架柱上形成了框架柱的第一点屈服。②点对应的屈服荷载为 622.68 kN(推拉向均值,下同),屈服位移为35.06 mm。②点至③点阶段荷载仍持续上升,峰值荷载为690.05 kN,较屈服荷载提高10.8%,对应整体侧移为72.11 mm;③点至④点阶段荷载下降比较平缓,④点整体侧移可达119.96 mm,整体位移延性系数为3.42,结构表现出良好的变形能力。试件的主要试验结果见表2。

表2 试件主要试验结果
Table 2 Main test results

注:Py为屈服荷载;y为屈服位移;Pm为峰值荷载;m为峰值位移;u为极限位移;u=u/y为延性系数。

特征点 ①点 ②点 ③点 ④点 延性系数加载方向 Py/kN images/BZ_246_1077_786_1106_828.pngy/mm images/BZ_246_1077_786_1106_828.pngy/h Py/kN images/BZ_246_1077_786_1106_828.pngy/mm images/BZ_246_1077_786_1106_828.pngy/h Pm/kN images/BZ_246_1077_786_1106_828.pngm/mm images/BZ_246_1077_786_1106_828.pngm/h images/BZ_246_1077_786_1106_828.pngu/mm images/BZ_246_1077_786_1106_828.pngu/h u推向 401.18 20.22 1/166 635.8 37.30images/BZ_114_1133_1170_1266_1230.png698.6 72.12images/BZ_114_1585_1170_1723_1230.png120.9images/BZ_114_1903_1170_2060_1230.png3.24拉向 401.42 16.82 1/199 609.4 32.81 3.63平均images/BZ_114_1133_1230_1266_1290.png681.4 72.10images/BZ_114_1585_1230_1723_1290.png119.0images/BZ_114_1903_1230_2060_1290.pngimages/BZ_114_410_1290_552_1350.pngimages/BZ_114_549_1290_703_1350.pngimages/BZ_114_700_1290_826_1350.pngimages/BZ_114_823_1290_968_1350.pngimages/BZ_114_965_1290_1136_1350.pngimages/BZ_114_1133_1290_1266_1350.pngimages/BZ_114_1263_1290_1422_1350.pngimages/BZ_114_1419_1290_1588_1350.pngimages/BZ_114_1585_1290_1723_1350.pngimages/BZ_114_1720_1290_1905_1350.pngimages/BZ_114_1903_1290_2060_1350.png3.42

图7 荷载-位移曲线
Fig.7 Load-displacement curves

1.3 试验现象

试件破坏顺序为:一层墙板对角屈服,屈服扩展至框架柱一层上形成了框架钢柱的第一点屈服,一层梁柱节点发生转动,梁端形成塑性铰,二层墙板首次出现裂缝,东西柱脚形成塑性铰,并发展至翼缘强化撕裂,一层、二层墙板残余变形十分明显。综上可见,对比文献[3],框架钢柱截面相同的情况下,PEC柱结构避免了纯钢柱平面外的弯扭屈曲破坏模式,形成了平面内的“强框架弱墙板、强柱弱梁”的破坏模式。

试件的破坏模式及过程为:由钢材材性试验结果计算可得内填板、H型钢柱和中梁屈服应变分别为 1.578 10-3、1.469 10-3和 1.399 10-3。以一层墙板、一层梁东侧以及东柱柱底应变发展为例来说明构件的屈服顺序,如图8、图9所示。根据文献[19],将中梁东侧应变花等效为一个主应变L1,其中图9中每条线上标注的点为其屈服点。

图8 一层结构主要应变片布置
Fig.8 Acceleration spectrum of ground motions

由图9可见,Q1和Q2首先达到屈服点,则表明墙板进入到初始对角屈服,然后柱底翼缘边缘纤维达到屈服点,此后,梁端全截面屈服;在②点至③点过程中,墙板达到了完全屈服状态,达到③点时,墙板进入到应变硬化临界状态。

达到①点之前,一层内填板对角线方向墙板中部位置屈服,如图9所示;达到①点时,一层墙板卸载后出现轻微X型残余变形如图10(a),表明内填墙板对角屈服拉力带完全形成,此时墙板进入到初始对角屈服,加载后期由于墙板中部变形较大,应变片损坏,故图9中后期没有Q1应变的变化;试验数据表明屈服扩展至框架柱一层上形成了框架钢柱的第一点屈服(图9)一层西柱填塞混凝土表面除初始裂缝外无裂缝出现(图7)。

图9 结构主要应变及墙板受力临界状态
Fig.9 Strain value of key strain gauge and typical stress state of infill plate

达到②点时,柱脚区域填塞混凝土出现少许斜向45°裂缝,一层梁柱节点发生轻微转动(图10(b)),在②点至③点过程中,一层墙板完全屈服,此时墙板达到了统一屈服状态;并且中梁两端部翼缘发生局部屈曲,腹板发生鼓曲(图10(c)),此时梁端形成塑性铰。

图10 破坏模式
Fig.10 Failure modes

达到③点时,试件达到了峰值荷载,墙板进入应变硬化临界状态,一层受压柱底形成塑性铰,柱底翼缘出现初始开裂(图10(f)),柱脚区域填塞混凝土表面脱落,一层板形成了X型裂缝,二层板也发生了撕裂,如图10(d)、图10(e)所示。

达到④点时,柱脚区域填塞混凝土表面(横向系杆外侧)大面积掉落,钢柱底外侧翼缘断裂。在往复荷载作用下,最终一层墙板形成了非常明显的X型残余变形,二层墙板大面积区域形成了明显的多波屈曲,由于柱脚钢翼缘的开裂,使得试件一层柱出现了轻微内凹现象。

图11 有限元与试验骨架曲线对比
Fig.11 Comparison of skeleton curves between finite element simulation and test

1.4 有限元模型对比研究

对半刚性部分组合框架-薄钢板剪力墙试验试件进行非线性有限元分析,梁柱平齐端板连接在ABAQUS有限元里面是采用弯矩-转角关系来实现的,钢材材性采用实际材性试验的混合强化模型,泊松比v为0.3,混凝土采用ABAQUS中的混凝土塑性损伤模型,钢材及混凝土材性选用表1的材性数值。H型钢柱、钢梁以及墙板均选用壳单元(S4R),横向系杆选用线性有剪切变形的梁单元(B31),混凝土选用8节点减缩积分实体单元(C3D8R)。H型钢柱、钢梁和混凝土网格均采用35 mm 35 mm,墙板网格选用30 mm 30 mm,约束了梁的上翼缘面外平动自由度来防止结构面外失稳。钢与混凝土之间其法向相互作用为“硬”接触,切向相互作用为罚,钢与混凝土界面摩擦系数取 μs = 0.3[20]。对模型首先进行屈曲分析,提取一阶模态的1/1000作为/墙板的初始几何缺陷,然后进行非线性分析。图11为有限元与试验骨架曲线对比,由图可见,有限元骨架曲线与试验骨架曲线拟合较好。

图12为有限元与试验试件破坏模式对比,当侧移角达到1.9%时,试验试件及有限元模型均在中梁两端翼缘发生严重局部屈曲,腹板发生鼓曲,如图12(a)和图12(b)所示,当侧移角达到3.6%时,柱底翼缘断裂,如图12(c)和图12(d)所示;在往复荷载作用下,一、二层墙板均形成了明显的“X”型残余变形,如图12(e)所示;试验试件最终整体破坏模式如图12(f)所示。

图12 有限元与试验破坏模式对比
Fig.12 Comparison of failure modes between finite element simulation and test

2 PEC柱翼缘屈曲承载力计算

部分组合柱翼缘轴心受压时的屈曲变形图,如图13所示,其中虚线代表屈曲波形。

图13 部分组合柱翼缘屈曲
Fig.13 The flange buckling of PEC column

在轴压作用下,单位长度翼缘受到的压力为:

其中:k为屈曲系数;D为单位宽度板的柱面刚度,为翼缘厚度;b为柱翼缘自由悬伸端宽度。

对于部分组合柱的屈曲系数计算公式,可参考文献[21]:

式中,s为系杆间距。

3 PEC柱抗弯刚度简化计算

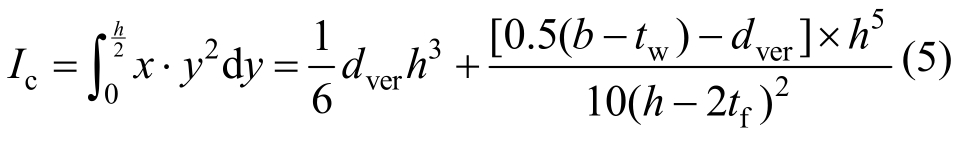
对于PEC中的混凝土,其混凝土约束区分可采用型钢混凝土的约束区分[22],如图15所示。PEC中部分约束混凝土与高约束混凝土的分界线为二次抛物线,计算方法如下:

式中:b为翼缘宽度;tf为翼缘厚度;tw为腹板厚度;h为整个钢截面的高度;x为钢截面弱轴中性轴到抛物线上点的距离;y为钢截面强轴中性轴到抛物线上点的距离;dver为抛物线顶点到钢截面的距离,

由于 PEC中部分约束混凝土其约束作用较弱,计算混凝土截面惯性矩时,将PEC中部分约束混凝土贡献忽略,仅计算高约束区混凝土惯性矩的贡献[23]。则:

则PEC等效抗弯刚度:

式中:IaIc为结构钢截面、无开裂混凝土截面相对弯曲中性轴的截面惯性矩;EaEc分别为钢材和混凝土弹性模量。

图14 型钢混凝土约束区分
Fig.14 Restraint distinction of concrete in section steel

图15 PEC混凝土分界
Fig.15 Concrete boundary of PEC

4 基于承载力的边框柱设计

4.1 底层柱受力需求分析

当墙板完全屈服时,如图16所示,则由墙板产生施加在框架上的分布力为:

式中:twifyp分别为墙板厚度和屈服强度;α为墙板拉力场倾角。

引入应力均匀性系数 γ 来考虑因塑性铰形成区域上移而导致的墙板应力分布不均匀现象[24],如图17所示。此时由墙板产生施加在框架的分布力为式(7)、式(8)分别乘以

式中,ωt 为边框柱柔度系数,对于组合结构可按下式计算[25]

式中:h1为上下梁中心线间的距离;L为竖向边缘构件中心线之间的净距离;Εw为钢板墙弹性模量;(ΕΙ)eff为边框柱的有效抗弯刚度,按式(6)确定。

图16 钢板墙屈服时受力分析
Fig.16 Stress analysis of steel plate wall in yield

图17 墙板拉力场发育
Fig.17 The development of wall plate tension field

下面将分别考虑在统一屈服临界状态和应变硬化临界状态下一层柱中及柱顶受力需求,进而对底层柱破坏形式进行合理预测,并用于设计。

4.1.1.统一屈服临界状态底层柱受力分析

1)轴力

统一屈服临界状态时,假定墙板和梁均先于底层柱屈服,此时框架柱自由体受力分析如图18所示,可以看出特定高度受压柱轴力等于墙板作用力竖向分力、沿柱高度方向所有梁中剪力以及重力荷载之和。因塑性铰位置对轴力计算不产生影响,则可采用假定塑性铰位于柱底时进行轴力计算。在统一屈服阶段时,位于高度y处受压柱轴力可以通过下式计算:

式中:Pd-1下标 d-1表示统一屈服临界状态时内力需求;PG为重力荷载;分别为靠近受拉侧和受压侧梁端塑性弯矩;i层两个塑性铰之间的距离;Lcidbi分别为i层梁的跨度和高度。

2)弯矩

过去的钢板墙试验推覆分析表明,当钢板墙设计合理时,其整体响应可以理解为框架作用和内填墙板作用的叠加[26-28]。Tsai 等[29-30]提出框架柱中的弯矩可由沿着框架横向的法向力产生的弯矩与等效撑杆模型中因框架作用而产生的弯矩叠加获得,见图19。沿着框架横向方向的法向力产生的弯矩可以通过假定柱为两端固定承受均布荷载进行计算,而对于等效支撑模型因框架作用产生的弯矩则通过引入系数 λ 来计算。λ为由框架产生的底端弯矩与顶端弯矩的比值。具体的 λ值可通过对等效撑杆模型进行地震荷载下的弹性静态分析获得。

当塑性铰形成于高度y以下区域时其弯矩值为:

假设塑性铰出现位置为y = Y,则塑性铰位置可以通过弯矩Md-1(y)对y的一次求导等于0求得。则可得:

将式(13)代入式(12),可得:

图18 钢板墙轴力计算简图
Fig.18 A sketch of calculating axial force of steel plate walls

图19 钢板墙弯矩计算简图
Fig.19 A sketch of calculating bending moment of steel plate walls

则表明当塑性铰出现在y = Y位置时,其弯矩需求可用式(14)进行计算。

一层受压柱中塑性铰位置y= Y确定时,此时由等效撑杆模型计算的一层受压柱顶端弯矩为:

而沿着框架横向方向的法向力在柱顶端产生的弯矩值为则此时柱顶弯矩为两者之和:

3)一层柱顶剪力

一层柱顶剪力可通过对柱自由体进行受力分析获得,如图20所示。则柱顶剪力为:

其中,dc为柱的深度。

图20 钢板墙一层受压柱剪力计算简图
Fig.20 A sketch of shear force calculation for first storey compressive column of steel plate walls

4.1.2.塑性硬化临界状态一层柱受力分析

为了计算塑性硬化阶段一层柱受力情况,采用应变硬化系数hphf来考虑应变硬化对墙板屈服以及框架塑性铰的影响。则其轴力、弯矩和剪力计算相当于在统一屈服阶段的轴力、弯矩和剪力中分别乘以相应的应变硬化系数。

4.2 塑性铰位置确定

根据文献[31],则对于纯钢梁梁端塑性折减弯矩承载力为:

式中:Mp为钢截面不考虑轴力影响时截面塑性弯矩承载力;为考虑轴力影响后折减弯矩承载力;Pd为截面轴力;Py是柱全截面屈服轴压承载力。

Myoung-Ho[32]对部分组合柱的压弯试验研究表明,对于部分组合柱其P-M曲线可根据AIJ规范中对组合梁柱的要求来确定。而AIJ规范对组合梁柱假定钢截面与混凝土截面各自发展塑性,其P-M曲线可以根据下式获得[33]

当 0 ≤ PuuNc

PuuNc

式中:uNc为混凝土在不承受弯矩作用时的轴压承载力;Mp是钢截面的塑性弯矩承载力,可通过式(18)计算;NcMc分别为混凝土截面轴压荷载和弯矩;NsMs分别为钢截面的轴压荷载和弯矩;Pu为组合截面轴压承载力和塑性弯矩承载力。

假定塑性铰形成于柱脚上方Y = y*处,部分组合框架-钢板墙中框架柱所需的弯矩和塑性弯矩承载力均可以通过式(14)、式(19)或式(20)进行计算,对于不同的y*,代入式(19)、式(20)则有通过迭代y*,使收敛于大于下一步应该减小y*再次进行迭代;相反,若则下一步应该增大y*再次迭代。

4.3 设计校核及破坏模式预测

为防止结构形成软楼层破坏机制,结构在达到应变硬化阶段之前,一层柱顶不应出现塑性铰,因此需对统一屈服临界状态柱顶弯矩以及剪力进行核算。

1)轴力-弯矩核算

当塑性铰发生在Y = y*位置时,可由式(13)得:

由4.2所述,在塑性铰确定时,收敛于为防止柱顶不出现塑性铰,则可使大于柱顶弯矩则可得不等式:

2)轴力-剪力核算

由式(16)则可确定统一屈服临界状态剪力为:

而根据Qu等[34]对钢板墙框架柱研究表明,钢板墙框架柱需进行抗剪验算。考虑轴力对剪切承载力的影响,因此:

式中:twc为柱腹板厚度;fy为柱屈服强度。

当式(23)及式(25)满足时,表明结构在统一屈服阶段未形成一层顶端塑性铰。若大于则表明形成弯矩铰,反之则表明未形成弯矩铰;若大于则表明形成剪力铰,反之则表明未形成剪力铰。

4.4 有限元验证

建立三个柱尺寸不同的单跨三层足尺有限元模型如图21所示,其中梁柱采用刚接,采用狗骨式H型钢梁如图22,模型设计尺寸如表3。钢材材性选用理想弹塑性模型,钢板墙采用 Q235钢材(fy=235 N/mm2),周边框架均采用 Q345钢材(fy=345 N/mm2),钢材弹性模量为E=2.06 105 N/mm2。混凝土采用 ABAQUS中的混凝土塑性损伤模型,混凝土标号 C30,标准抗压强度 14.3 N/mm2,弹性模量 Ec=3.0×104 N/mm2,具体的建模信息详见1.4节。

表3 模型设计尺寸/mm
Table 3 The design size of model

项目 模型1 模型2 模型3型钢柱 H600 600 28 28 H550 550 26 26 H550 550 25 25顶梁 H700 300 24 28 H700 300 24 28 H700 300 24 28中梁 H550 300 24 28 H550 300 24 28 H550 300 24 28钢板 3600 3600 8 3600 3600 8 3600 3600 8

图21 有限元模型
Fig.21 Finite element model

图22 狗骨式梁端节点
Fig.22 Beam end joint of dog-bone

λ为由框架产生的底端弯矩与顶端弯矩的比值,具体的λ值可通过对等效支撑模型进行地震荷载下的弹性静态分析获得。而等效支撑模型假定墙板形成的所有拉力带产生相同的应变,并且墙板形成的所有拉力带可用一个两端与框架铰接的对角桁架构件所替代[29],如图19所示。因此根据文献[29]建立各模型的等效支撑模型,确定各模型λ数值。由表4知,模型 1、模型 2中均大于则表明模型1和模型2一层顶端弯矩塑性铰不会先于柱中塑性铰形成。而模型3中小于则表明一层柱顶在统一屈服阶段塑性铰先于柱中塑性铰形成。由图23知,受压柱塑性铰形成区域基本与表4中预测位置一致。

表4 设计校核以及塑性铰位置确定
Table 4 Design verification and location determination of plastic hinges

模型 λ 塑性铰位置y* y*/h1 pin rq t()M-λ_/(kN·m)*M_(y*)/(kN·m)in *u1Myh prq 1_(/)/(kN·m)1 10.82 784.8 0.218 1006.30 2201.40 2195.21 2 6.23 1105.2 0.307 1009.96 1422.40 1417.39 3 4.80 1378.8 0.383 949.37 887.69 883.14

图23 各模型一层受压柱各阶段应变
Fig.23 Strain at each stage of first layer compressive column in each model

由表5、表6知,模型1的均大于其对应各阶段所需的弯矩和剪力,因此一层柱顶在整个过程中均未形成塑性铰,如图23(a)所示。而由表5知,模型2此时所需弯矩及剪力均小于截面塑性值,表明其在统一屈服阶段时一层柱顶未形成塑性铰,但是在应变硬化阶段时,其所需弯矩、剪力值均大于截面塑性值,则表明此时其应在应变硬化阶段时一层柱顶形成弯矩铰和剪力铰,如图23(b)。由表5知,模型3的大于而由表4知,其一层柱顶在统一屈服阶段塑性铰先于柱中塑性铰形成,由表6知,模型3的均大于则表明其在统一屈服和应变硬化阶段一层柱顶及柱中塑性铰已经形成,如图23(c)所示。

表5 统一屈服阶段一层顶端校核
Table 5 Top check of one layer column in unified yielding stage

模型 λ t M_/(kN·m)Mu*-1(h1)/(kN·m)Vdt_1/kN Vu*_1/kN d1 1 10.82 1185.01 2749.22 2657.31 3325.37 2 6.23 1173.40 1847.62 2291.23 2328.56 3 4.80 1073.28 994.79 2159.76 2176.54

表6 应变硬化阶段一层顶端校核
Table 6 Top check of one layer column in strain hardening stage

模型 λM_2/(kN·m)Mu*-2(h1)/(kN·m)Vdt_2/kN Vu*_2/kN td 1 10.82 1422.01 2248.96 2923.04 2942.44 2 6.23 1408.07 1402.31 2520.35 1942.25 3 4.80 1287.94 803.71 2375.74 2031.85

5 结论

本文主要结论如下:

(1)通过对两层半刚性部分组合框架-薄钢板剪力墙试件的试验研究,结构具有较高的承载力和良好的延性。发现墙板形成了明显的 X型残余变形,墙板受力过程可分为初始对角屈服、统一屈服、应变硬化三种临界状态;一层受压柱顶、柱底形成塑性铰,并且一层柱出现了内凹现象;此外,骨架曲线的屈服点、峰值点等均与试验现象较为吻合。

(2)在轴压作用下,PEC柱的曲屈系数可参考相关文献,从而可求得翼缘屈曲承载力;将PEC柱中的混凝土约束区分为高约束区和部分约束区,在此仅计算高约束区混凝土的作用,然后采用叠加法求得PEC柱等效抗弯刚度。

(3)根据叠加原理确定了部分组合柱内力计算原则,提出了有效地预测底层受压柱的破坏模式及其塑性铰出现位置的部分组合框架-薄钢板墙底层受压柱的设计方法。

参考文献:

[1]Wang Meng, Yang Weigun, Shi Yongjiu, et al.Seismic behaviors of steel plate shear wall structures with construction details and materials [J].Journal of Constructional Steel Research, 2015, 107(17): 194―210.

[2]Yu Jinguang, Feng Xiaotian, Li Bo.Performance of steel plate shear walls with axially loaded vertical boundary elements [J].Thin-Walled Structure, 2018, 125(14):152―163.

[3]Yu Jinguang, Hao Jiping.Behaviour of semi-rigid steel frames with steel plate shear walls [J].Advanced Steel Construction, 2016, 12(2): 154―173.

[4]于金光,郑春明,王雪军,等.框架柱横向撑杆对钢板剪力墙结构作用效应研究[J].工程力学, 2017, 34(12):192―201.Yu Jinguang, Zheng Chunming, Wang Xuejun, et al.Effect of transverse braces on the behavior of steel pate shear wall frame structure [J].Engineering Mechanics,2017, 34(12): 192―201.(in Chinese)

[5]JGJ/T 380―2015, 钢板剪力墙技术规程[S].北京:中国建筑工业出版社, 2015.JGJ/T 380―2015, Technical specification for steel plate shear walls [S].Beijing: China Architecture Industry Press, 2015.(in Chinese)

[6]于金光,郝际平,李波.考虑轴压作用下钢板剪力墙结构边框柱稳定性研究[J].地震工程与工程振动, 2015,35(4): 244―253.Yu Jinguang, Hao Jiping, Li Bo.Study on the stability of vertical boundary elements in steel plate shear walls under axial compression [J].Earthquake Engineering And Engineering Dynamics, 2015, 35(4): 244―253.(in Chinese)

[7]ANSI/AISC 341―05.Seismic provisions for structural steel buildings [S].Chicago, IL: American Institute of Steel Construction, 2005.

[8]Lubell Adam S, Prion Helmut G L, Ventura Carlos E, et al.Unstiffened steel plate shear wall performance under cyclic loading [J].Journal of Structural Engineering,2000, 126(4): 453―460.

[9]Vincent, Richard B.Design and application of partially encased non-compact composite columns forhighrise buildings [C].Alberta, Canada: Proceedings of the Conference: Composite Construction in Steel and Concrete IV, 2000.

[10]Ehab M Hanna, Sameh M Gaawan.Experimental testing of partially encased composite beam columns [J].Journal of Engineering Research and Applications, 2016, 6(1):64―71.

[11]Mehdi Dastfan, Robert Driver.Large-scale test of a modular steel plate shear wall with partially encased composite columns [J].Journal of Structural Engineering,2016, 142(2): 141―150.

[12]Song Yuchen, Wang Renpeng, Li Jie.Local and post-local buckling behavior of welded steel shapes in partially encased composite columns [J].Thin-Walled Structures, 2016, 108(9): 93―108.

[13]Begum, Mahbuba, Driver Robert G, Elwi Alaa E.Behaviour of partially encased composite columns with high strength concrete [J].Engineering Structures, 2013,56(141): 1718―1727.

[14]方有珍, 马吉, 陆承铎, 等.新型卷边钢板组合截面PEC柱(强轴)滞回性能试验研究[J].工程力学, 2013,30(3): 181―190.Fang Youzhen, Ma Ji, Lu Chengduo, et al.Test study on hysteretical behaviour of PEC columns(strong axis)fabricated with crimping thin-walled built-up section [J].Engineerig Mechanics, 2013, 30(3): 181―190.(in Chinese)

[15]传光红, 陈以一.部分填充式组合结构框架装配节点静力试验及受剪承载力计算[J].建筑结构学报, 2017,38(8): 83―91.Chuan Guanghong, Chen Yiyi.Static loading test and shear strength calculation of assembled frame connections of partially encased composite structures [J].Journal of Building Structures, 2017, 38(8): 83―91.(in Chinese)

[16]林德慧, 陈以一.部分填充钢-混凝土组合柱整体稳定分析[J].工程力学, 2019, 36(增刊1): 71―77.Lin Dehui, Chen Yiyi.Overall stability analysis of partially encased composite columns [J].Engineering Mechanics, 2019, 36(Suppl1): 71―77.(in Chinese)

[17]赵根田, 张宇鸣, 曹芙波, 等.部分包裹混凝土组合柱-型钢梁端板连接框架抗震性能试验研究[J].建筑结构学报, 2017, 38(增刊): 50―57.Zhao Gentian, Zhang Yuming, Cao Fubo, et al.Experimental research on sismic performance of PEC column-steel beam frame connected by end plate [J].Journal of Building Structures, 2017, 38(Supp1): 50―57.(in Chinese)

[18]JGJ/T 101―2015, 建筑抗震试验规程[S].北京: 中国建筑工业出版社,2015.JGJ/T 101―2015, Specification for seismic test of buildings [S].Beijing: China Architecture Industry Press, 2015.(in Chinese).

[19]陈树珍, 高德潜.应变图解法与计算公式的改进[J].地震, 1983, 3(2): 31―33.Cheng Shuzhen, Gao Deqian.Improvement of strain graphic methodand calculation formula [J].Earthquake,1983, 3(2): 31―33.(in Chinese)

[20]Deng Xiaoyan.Behavior of steel plate shear wall fabricated with partially encased composite columns [D].Alberta, Canada: University of Alberta, 2012.

[21]Tremblay R, Massicotte B, Filion I, et al.Experimental study on the behavior of partially encased composite columns made with light welded H steel shapes under compressive axial loads [C].Atlanta: SSRC Annual Technical Meeting, 1998: 195―204.

[22]Mirza S A.Parametric study of composite column strength variability [J].Journal of Constructional Steel Research, 1989, 14(2): 121―137.

[23]European Committee for Standardization(CEN).Brussels, Belgium: Design of composite steel and concrete structures, part 1-1: general rules and rules for building [S].1994.

[24]Qu Bing, Bruneau Michel.Seismic behavior and design of boundary frame members of steel plate shear walls[R].Buffalo, New York: TechnicalRep.No.MCEER-08-0012, Multidisciplinary Center for Earthquake Engineering Research, 2008.

[25]CAN/CSA―S16.1―2001, Limit states design of steel structures [S].Canadian Standard Association, 2002.

[26]Driver Robert G.Kulak, Geoffrey L Kennedy, Laurie D J, et al.Cyclic tests of four-story steel plate shear wall[J].Journal of Structural Engineering, 1998, 124(2):112―120.

[27]Jeffrey W.Berman, Bruneau Michel.Experimental investigation of light-gauge steel plate shear walls [J].Journal of Structural Engineering, 2005, 131(2): 259―267.

[28]Qu Bing, Bruneau Michel, Chih-Han Lin, et al.Testing of full scale two-story steel plate shear wall with reduced beam sections connections and composite floors[J].Journal of Structural Engineering, 2008, 134(3): 364―373.

[29]Keh-Chyuan Tsai, Chao-Hsien Li, Chih-Han Lin, et al.Cyclic tests of four two-story narrow steel plate shear walls-part 1: analytical studies and specimen design [J].Earthquake Engineering and Structural Dynamics, 2010,39(7): 775―799.

[30]Chao-Hsien Li, Keh-Chyuan Tsai, Chih-Han Lin, et al.Cyclic tests of four two-story narrow steel plate shear walls.Part2: experimental results and design implications[J].Earthquake Engineering and Structural Dynamics,2010, 39(7): 801―826.

[31]Bruneau Michel, Uang Chia-ming, Rafael Sabelli.Ductile design of steel structures [M].New York and London: Mc Graw-Hill, 1998.

[32]Myoung-Ho Oh, Young-Kyu Ju, Myeong-Han Kim, et al.Structural performance of steel-concrete composite column subjected to axial and flexural loading [J].Journal of Aisan Architecture and Building Engineering,2016, 5(1): 153―160.

[33]Structural calculations of steel reinforced concrete structures [S].Tokyo, Japan: Architectural Institute of Japan(AIJ), 1978.

[34]Qu Bing, Bruneau Michel.Behavior of vertical boundary elements in steel plate shear walls [J].Engineering Journal.Second Quarter, 2010, 136(2): 109―122.

STUDY ON DESIGN METHOD OF VERTICAL BOUNDARY ELEMENT OF PARTIALLY ENCASED COMPOSITE FRAME-STEEL PLATE SHEAR WALLS

YU Jin-guang1,2 , LIU Li-ming1 , HAO Ji-ping1,2
(1.School of Civil Engineering, Xi’an University of Architecture and Technology, Xi’an, Shaanxi 710055, China;2.National Experimental Teaching Center for Civil Engineering Virtual Simulation,Xi’an University of Architecture and Technology, Xi’an, Shaanxi 710055, China)

Abstract: Based on the experimental study of the partially encased composite frame-thin steel plate shear walls,it is found that the failure stages of the infilled steel plate include initial diagonal yielding, uniformed yielding,and strain hardening.By introducing the partially encased composite column, the bending-torsion failure modes of traditional steel columns are effectively improved.The failure mode of the partially encased composite column is the strength failure of plastic hinges formed at the top and bottom of the column.Based on the design concept of“strong frame and weak wall panel”, it determines the calculation principle of the internal force of the partially encased composite column in the uniformed yielding stage and the strain hardening stage according to the superposition principle, and proposes a design method suitable for frame column of the partially encased composite frame-thin steel plate shear walls.The finite element simulation shows that the design method can effectively predict the failure modes and the locations of the plastic hinges of the bottom compressed column,which can provide theoretical basis for reasonable design of boundary frame column in steel plate shear walls.

Key words: steel plate shear walls; partially encased composite frame; design method; experimental study;finite element simulation

中图分类号:TU398.2

文献标志码:A

doi: 10.6052/j.issn.1000-4750.2019.01.0110

文章编号:1000-4750(2020)02-0098-13

收稿日期:2019-03-12;修改日期:2019-07-09

基金项目:国家重点研发计划资助项目(2016YFC0701201);国家自然科学基金资助项目(51578442,51408461);陕西省教育厅专项科研项目(17JK0438);陕西省自然科学基础研究计划资助项目(2017JQ5064)

通讯作者:于金光(1985―),男,黑龙江人,副教授,博士,从事钢结构及组合结构研究(E-mail: yjggordon@163.com).

作者简介:

刘利明(1992―),男,甘肃人,硕士生,从事钢结构及组合结构研究(E-mail: 2049893594@qq.com);

郝际平(1959―),男,陕西人,教授,博士,博导,从事钢结构工程及教学研究(E-mail: haojiping@xauat.edu.cn).