陈 俊1,张 白1,杨 鸥2,蒋恩浩1
(1. 湘潭大学土木工程与力学学院,湖南,湘潭 411105;2. 湖南大学土木工程学院,湖南,长沙 410082)
摘 要:为研究高温对锈蚀钢筋混凝土结构粘结锚固性能的影响,对锈蚀试件(锈蚀率为 1.08%)与非锈蚀试件先进行高温试验(20 ℃、200 ℃、400 ℃、600 ℃、800 ℃),再进行中心拔出试验。试验结果表明:随温度的升高,锈蚀试件与非锈蚀试件粘结强度均呈下降趋势,与非锈蚀试件相比,锈蚀试件在温度不超过400 ℃时,其粘结强度下降趋势较为平缓。分析了高温作用后混凝土抗压强度、钢筋极限强度、钢筋与混凝土间粘结强度三者之间的关系,并建立了考虑不同温度、不同锈蚀率等因素影响下钢筋与混凝土的粘结-滑移关系式。
关键词:高温;锈蚀钢筋混凝土;粘结性能;拔出试验;粘结-滑移关系
混凝土保护层的化学性能(高碱性)与物理性能(高电阻率)是保证混凝土内部钢筋在短时间内不易受外界环境侵蚀的根本[1]。在高碱环境下钢筋表面的钝化膜处于稳定状态,但若混凝土内部碱性下降,钢筋表面钝化膜将被溶解破坏,活化侵蚀开始。Mehta[2]指出钢筋锈蚀所引起的混凝土结构过早破坏是影响当今混凝土耐久性的主要原因。通常认为,引起混凝土内部钢筋锈蚀主要有以下两个原因[3]:Cl-侵蚀(主要来自于海风、海水、除冰盐以及混凝土骨料中含 Cl骨料)、酸性环境(大气环境中CO2、酸雨中的NO2、SO2等与混凝土中Ca(OH)2、C-S-H等碱性物质发生反应)。不少研究者发现,锈蚀不仅导致钢筋自身力学性能下降,有效截面面积减小,更会影响钢筋与混凝土间的粘结应力,且钢筋与混凝土间极限粘结应力(简称:粘结强度)退化带来的危险甚至比钢筋本身截面面积减小更为严重[3]。
目前,国内外学者对锈蚀钢筋与混凝土粘结锚固性能进行了一系列研究,研究参数涉及混凝土强度等级、钢筋种类、保护层厚度、粘结长度等。杨海峰等[4]通过钢筋开槽内贴应变片的方法,分析了随时间和位置变化的锈蚀钢筋与混凝土粘结-滑移本构关系。Fang等[5]以箍筋约束、钢筋类型等为影响因子研究了钢筋锈蚀对粘结强度的影响。大量试验表明[5-10],锈蚀率较低时(≤2%),粘结强度不变或略有提高,而随着锈蚀率持续增大,粘结强度有较大幅度衰退。上述研究均基于常温下锈蚀钢筋与混凝土的粘结,而对于锈蚀钢筋与混凝土高温后粘结锚固性能的相关研究尚缺乏。高温使钢筋及混凝土的材料性能发生变化,导致两者之间可靠粘结性能退化,进而对结构的承载能力产生重大影响。近年来,也有不少学者对高温后非锈蚀钢筋与混凝土粘结锚固性能进行了大量试验研究,并取得了一系列成果[11-16],Ergün 等[13]以混凝土等级、钢筋等级、钢筋直径等为影响因子研究了不同温度作用后钢筋与混凝土粘结强度的退化规律,并给出了粘结强度退化模型。Yang等[14]以再生混凝土粗骨料取代率、温度等为影响因子研究了粘结强度退化规律,并建立了温度因素下粘结-滑移本构模型。由于这些计算模型主要基于试验结果回归分析建立,存在参数选取不全面且模型多变(例如:本构模型随着不同温度、不同锈蚀率而变化)等不足,致使模型的适用性相对较差。
沿海地区由于特殊的气候环境,大气、建材和水中的氯化物含量较高,大量建筑物中钢筋存在一定的锈蚀,加之经常处于高温下的核电站、冶金厂等重要工程的建设,以及高层建筑防火安全需求,迫切需要对锈蚀钢筋混凝土结构的耐火性能以及粘结-滑移关系进行相关研究,以准确评估锈蚀钢筋混凝土结构经受高温后的损伤程度,为经济合理地确定维修加固方案提供一定的指导意义。
为此,本文通过中心拔出试件的试验,研究了锈蚀钢筋(锈蚀率为0%和1.08%)与混凝土遭受不同温度作用后(20 ℃,200 ℃,400 ℃,600 ℃,800 ℃)的粘结性能退化规律,并建立考虑温度、锈蚀率等因素下简化的粘结-滑移关系式,与相关学者试验结果的对比分析表明,关系式具有一定的合理性。
试件制作参照《混凝土结构试验方法标准》(GB/T 50152―2012)。采用拉拔试件测试粘结性能,试件尺寸为200 mm×200 mm×200 mm,试件分锈蚀组(平均钢筋锈蚀率为1.08%)与非锈蚀组,每组25个试件,每组试件分别设定为20 ℃(常温),200 ℃、400 ℃、600 ℃、800 ℃五个温度等级。试件锚固钢筋采用直径为20 mm的HRB500变形钢筋,浇筑于立方体试件中心位置,内配置三道
6@50的横向箍筋(箍筋等级为HRB300,其屈服强度fy、极限强度fu分别为332.21 MPa、456.36 MPa),以模拟现役工程实际中梁的箍筋加密区,粘结锚固长度设计为40 mm,在试件两端位置采用PVC管包裹钢筋,模拟无粘结段[17],同时在非粘结段与箍筋位置采用环氧树脂进行包裹,以避免其发生锈蚀而影响试验结果,试件几何尺寸如图1所示。试件所用混凝土配合比为水泥∶砂∶石∶水=1∶0.92∶1.95∶0.4,立方体试件标准养护 28 d并于室温风干后进行高温试验。高温后混凝土和钢筋的材料性能根据《普通混凝土力学性能试验方法标准》(GB/T 50081―2016)和《金属材料室温拉伸实验方法》(GB/T 228.1―2010)进行试验,测得不同温度作用后立方体试块残余抗压强度fcu、钢筋屈服强度fy、钢筋极限强度fu及钢筋的弹性模量Es,如表1所示。

图1 试件几何尺寸/mm
Fig.1 Dimensions of specimens
表1 高温后立方体及钢筋材料性能试验结果
Table 1 Material properties of reinforcement and cube specimens exposed to high temperatures

注:高温后钢筋与立方体材料试验恒温时间均为3 h。
本试验采用电化学方法进行加速锈蚀,装置如图2所示。标准养护28 d后,将多个试件串联放入5%的NaCl溶液中浸泡7 d后(液面以不超过钢筋底面为准)接通电源,恒流电源内含安培表与变阻器,通过安培表测定通过锈蚀钢筋的电流大小,电流密度为 0.2 mA/cm2(Tondolo[7]认为当电流密度超过0.25 mA/cm2时,相比于实际工程中钢筋锈蚀,加速锈蚀后的粘结性能将产生消极的影响)。根据法拉第定律,通过控制电流大小与通电时间可以控制钢筋的理论锈蚀率。

图2 钢筋加速锈蚀装置示意图
Fig.2 Setup for accelerated corrosion of steel bars
试件浇筑前,将钢筋用12%的盐酸溶液进行酸洗,然后经清水漂洗后,放入 3%的碳酸钠溶液中进行中和,最后取出用水冲洗,用毛巾擦干后放入105 ℃±5 ℃的烘箱内烘 4 h,冷却后用电子天平称重(精度0.01 g)。将每根试样称重后除以钢筋长度,得到单位长度重量(g/mm),最后取平均值作为锈蚀前钢筋单位长度重量W0。待试验完成后,破坏试件取出钢筋,用切割机截取粘结段钢筋,采用数显游标卡尺(精度 0.01 mm)测量粘结段长度,刮去钢筋上黏附的混凝土后,再按同样步骤测得锈蚀后钢筋单位长度重量W1。
锈蚀率的计算公式为:
式中:ρ为钢筋锈蚀率/(%);W0/(g/mm)和W1/(g/mm)分别为锈蚀钢筋前后的单位长度重量。
试件锈蚀完成后进行高温加热试验。先将试件进行煅烧,试件煅烧装置采用装配式复合加热炉。炉内初始温度为室温,升温速率约为10 ℃/min[15],升至设定温度后恒温 3 h,Bingöl等[12]通过对高温下拉拔试件内外温度场进行测试,结果表明恒温3 h后试件内外温度场基本达到一致。此外,由于钢筋直接暴露在火炉膛中,故认为粘结面温度与火炉膛温度相同,从而可通过炉膛温度对粘结面温度进行控制[15],待构件自然冷却至室温后取出试件进行中心拔出试验。
中心拔出试验在WA-1000B型电液式万能试验机上进行。中心拔出试验装置如图3所示。在加载端和自由端各安装两个高精度位移计测量试件两端的相对滑移值,加载端下部安装一个穿心力传感器采集拉拔力,以确保测量出的粘结力与滑移值一一对应。本试验采用美国NI高精度数据采集系统,采样频率 2048 Hz。拉拔力加载速率设定为0.18 kN/s~0.20 kN/s,随温度上升加载速率适当减小。

图3 拔出试验装置
Fig.3 Pull-out test setup
钢筋在锈蚀质量损失为1.08%的情况下,斜肋有部分点蚀的情况,但基本保持完好。经历高温作用并冷却后,锈蚀率为1.08%的试件与非锈蚀试件外观特征基本相似,钢筋表面颜色随其经历的温度有所区别,温度较高时钢筋表面还会出现碳化现象。观察其表面情况如下:200 ℃时,试件颜色基本不变(呈青灰色),棱角整齐,表面密实,钢筋表面颜色较常温时无明显区别;400 ℃时,试件局部呈暗红色,有细微裂纹,钢筋颜色呈浅红色;600 ℃时,试件呈暗红色,微裂纹增多,棱角局部缺损,钢筋颜色加深;最高温度达到800 ℃时,试件呈灰白色,有较宽的裂纹,表面疏松且局部脱落,钢筋表面颜色为红褐色且表面有剥落和碳化现象,拔出钢筋外观如图4所示。

图4 高温后拔出钢筋外观
Fig.4 Appearance of pulled out steel after elevated temperatures
拔出试验时,试件均为内部混凝土碎裂,钢筋被缓慢拔出而破坏,呈刮犁式拔出破坏形态。图5为试件拔出破坏照片。

图5 试件拔出破坏
Fig.5 Pull out failure of specimens
钢筋与混凝土的粘结强度uτ通常可由式(2)计算得到:
式中:τu/MPa为粘结强度;Fu/kN为极限荷载;L/mm为锚固长度;d/mm为钢筋直径。
考虑到混凝土的离散性,本试验舍弃每组试件最大值、最小值,取中间3个试件进行研究,中心拔出试验的结果如表2所示,其中Sf为自由端峰值滑移,Sl为加载端峰值滑移,Su为加载端与自由端平均峰值滑移。试件编号中首字母C、N分别表示锈蚀率为1.08%的锈蚀试件、非锈蚀试件,字母后的数值表示受火温度,短横线后的数字表示同一试验条件下的试件编号。
表2 试件试验结果
Table 2 Results of pull-out tests

续表

各组试件在不同温度作用后平均粘结应力-滑移(τ-s)曲线如图6所示。其中:s为各组试件加载端与自由端的平均滑移值;直线和虚线分布表示锈蚀率为 0%和 1.08%的试件在不同温度作用后同一试验条件下3个试件的平均值。由图可知:随温度的升高,锈蚀率为 1.08%的试件与非锈蚀试件的粘结强度逐渐下降,下降段越平缓,残余粘结强度越小;与非锈蚀试件相比,其锈蚀试件上升段曲线的斜率(粘结刚度)较大;大致可将锈蚀钢筋与混凝土的粘结破坏过程分为3个阶段,依次为滑移阶段、下降阶段、残余阶段。


图6 不同温度作用后τ-s曲线
Fig.6τ-scurves under different temperatures
图7 为锈蚀试件(锈蚀率为 1.08%)与非锈蚀试件(锈蚀率为0%)的粘结强度随温度的变化曲线,结合图6可以发现:随温度的上升,锈蚀试件与非锈蚀试件粘结强度均呈下降的趋势;与非锈蚀试件相比,常温下锈蚀试件粘结强度稍低,主要原因可能是试件在盐水中浸泡后导致混凝土强度有所降低[7];当温度低于 400 ℃时,试件粘结强度损失较缓慢,400 ℃时,锈蚀试件与非锈蚀试件粘结强度损失分别为 13.0%、32.0%,可以发现,温度低于400 ℃时,非锈蚀试件粘结强度受温度的影响更为明显,即同等条件下非锈蚀试件粘结强度损失大于锈蚀试件粘结强度损失;当温度超于400 ℃后,试件粘结强度开始大幅度下降,相比于非锈蚀试件,锈蚀试件粘结强度下降趋势更为明显,二者残余强度逐渐趋于相近,如800 ℃温度作用后,锈蚀试件与非锈蚀试件粘结强度分别仅为常温时的29.2%和28.5%,表明在温度超过 400 ℃后轻微锈蚀对粘结强度的影响逐渐消退。Bodnárová等[18]认为此时粘结强度的减少主要归因于混凝土中 CaCO3受热分解,气体逸出引起混凝土内部物质分解,加剧了混凝土内部结构的破坏。

图7 不同温度作用后粘结强度
Fig.7 Bond strength after exposed to high temperatures
一般认为,钢筋与混凝土间的粘结力由混凝土中的水泥凝胶体与钢筋接触面上的化学胶着力、钢筋与混凝土间的摩擦力以及钢筋表面凸出的肋与混凝土的机械咬合力3部分组成,对变形钢筋而言,则主要取决于钢筋表面凹凸不平的横肋与混凝土间的机械咬合力。为验证钢筋极限强度以及混凝土强度对这种咬合力的影响,将不同温度作用后粘结强度与钢筋极限强度、混凝土抗压强度的关系曲线绘于图8。图中α、β、γ分别表示相对极限粘结强度
相对钢筋极限强度
相对混凝土抗压强度
其中
分别表示温度T和常温下的粘结强度、钢筋极限强度、混凝土抗压强度。

图8 不同温度作用后τu、fu、fcu关系曲线
Fig.8 Relationship curves ofτu、fuandfcuat different temperatures
从图8可以发现:随着温度升高,相对粘结强度与相对钢筋极限强度的比值逐渐降低,而相对粘结强度与相对混凝土抗压强度比值逐渐增大;表明高温对变形钢筋-混凝土间粘结强度的损失要小于其对混凝土抗压强度的损失,而大于其对钢筋极限强度的损失。
当温度在600 ℃以下时,粘结强度损失明显大于钢筋极限强度的损失,却稍低于混凝土抗压强度损失;与锈蚀试件(锈蚀率为 1.08%)相比,非锈蚀试件粘结强度损失显得更加严重,这说明在温度不超过600 ℃的情况下,钢筋锈蚀可在一定程度上延缓粘结强度下降趋势;当温度超过600 ℃后,钢筋与混凝土间粘结强度损失趋于平缓,与钢筋极限强度损失的比值趋于稳定,而与混凝土抗压强度损失的比值增长幅度有所增加,这表明此时混凝土抗压强度损失明显加快,而钢筋极限强度损失也有所增加;相比于钢筋极限强度而言,粘结强度更易受混凝土抗压强度的影响,进一步证实了粘结强度主要取决于混凝土抗压强度。
为研究钢筋锈蚀(锈蚀率为0%和1.08%)对初滑移阶段(S=0.005 mm,S=0.010 mm,S=0.050 mm,S=0.100 mm,S=0.200 mm)粘结应力的影响。将同一滑移量下粘结应力随温度的变化曲线绘于图9。由图可知:试件的粘结刚度(粘结应力与滑移量之比)受高温作用影响明显,在温度较低(200 ℃前)时,随温度的上升,锈蚀试件粘结刚度出现明显增长趋势,原因是由于锈蚀钢筋在温度作用下锈蚀产物有所膨胀,增加了钢筋与混凝土间的摩擦力和咬合力;非锈蚀试件粘结刚度则表现出轻微的下降趋势,主要缘于钢筋与混凝土间的胶结作用破坏及混凝土强度有所降低。当温度超过200 ℃后,锈蚀试件与非锈蚀试件粘结刚度开始大幅下降,600 ℃后初滑移对应的粘结应力基本为零,与高温后混凝土抗压强度变化规律基本一致。与非锈蚀试件相比,在常温下钢筋微锈蚀对初始刚度(S<0.05 mm)的影响并且不明显,这是因为滑移很小时,胶结作用主要由化学胶着力提供,钢筋的轻微锈蚀对化学胶着力无明显影响。而当滑移值较大(S>0.05 mm)时,粘结作用主要表现为变形钢筋与混凝土的相互挤压作用,锈蚀试件的粘结刚度大于非锈蚀试件的粘结刚度,表明锈蚀钢筋产生的锈坑增加了钢筋表面粗糙度,使得钢筋与混凝土间的咬合力和摩擦力有所增加,在一定程度上增加了钢筋与混凝土间的粘结力。

图9 温度对不同滑移量时粘结应力的影响
Fig.9 Effect of temperature on bond stress at different slips
为满足钢筋混凝土有限元分析的需要,许多学者对钢筋混凝土粘结-滑移本构关系进行了研究。目前,国内外现有的粘结-滑移本构关系按建立方法的不同,大致可分为以下两种:1)理论分析。以力学计算作为基础和前提,建立合理可靠的关系模型[19-20]。2)试验分析。即采用大量的试验数据,通过一些软件拟合回归分析得到合理的本构关系。由于理论分析得出的本构方程复杂且存在有多种假定,与试验结果相比具有较大的变异性。因此,大多数学者更倾向于通过一些软件拟合回归分析建立合理的本构模型。表3列举了国内外相关学者通过拟合回归分析得到的粘结-滑移关系式。
由于钢筋与混凝土界面受力复杂、影响因素诸多,从表中相关学者提出的粘结-滑移本构关系式可以发现,计算模型中相关参数随着温度、锈蚀率的变化而变化,其适用性范围相当局限。
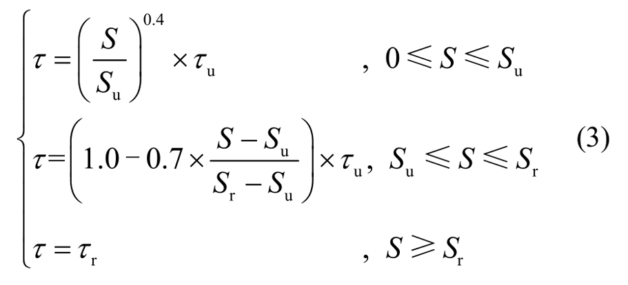
为此,本文结合已有相关学者的本构模型,基于试验数据,将粘结-滑移关系式进行了相应的优化,其关系式模型如图10所示。
表3 国内外相关学者的粘结-滑移本构模型
Table 3 Bond-slip constitutive model by scholars at home and abroad

粘结-滑移关系式如下:

式中:τr=0.3τu;Sr为钢筋肋间净距,本试验中Sr=9.20 mm;τ/MPa为粘结应力;S/mm为滑移值。

图10 粘结应力-滑移模型
Fig.10 Bond stress-slip model
不同温度作用后试验值与计算值的无量纲化粘结滑移曲线绘于图11。由图可知:无论是锈蚀率为1.08%的锈蚀试件还是非锈蚀试件,两者的试验平均曲线与通过关系式得到的计算曲线吻合较好。
文献[10]因其试件尺寸、锈蚀方法及电解溶液浓度等与本文一致,试验条件与本文相比具有较高的相似性,因此选取文献[10]中的试验数据及其本构模型来进一步验证关系式(3)的合理性,就不同锈蚀率下钢筋与混凝土的粘结-滑移过程进行对比分析。文献[10]其他试验参数如下:fcu=32.5 MPa,fy=374 MPa,fu=571 MPa,其中钢筋肋间距按《热轧带肋钢筋》新标准(GB 1499.2―2007)进行取值,文献[10]中钢筋直径d=14 mm,取肋间距为9.0 mm。


图11 粘结-滑移曲线试验均值与计算值比较
Fig.11 Comparisons of predicted bond-slip curve with average test results
图12 为文献[10]中粘结-滑移曲线与通过本文模型计算得到的粘结-滑移曲线的对比,可以发现,式(3)也可较好地适用于文献[10]的数据。相比于其他学者提出的本构模型而言,本文提出的粘结-滑移模型具有较好的适用性,且模型简单,可为研究温度、锈蚀等因素影响下的钢筋混凝土粘结-滑移以及有限元分析提供一定的理论参考。

图12 计算值与实测值粘结-滑移曲线比较
Fig.12 Comparison of predicted curves with test results
本文采用中心拔出试验获得了经历不同温度作用后锈蚀钢筋与混凝土的粘结应力-滑移曲线,通过对试验数据分析可得到以下结论:
(1)随着温度升高,钢筋与混凝土间粘结强度、粘结刚度逐渐下降,残余粘结力也逐渐减小;当温度不超过 400℃时,钢筋的轻微锈蚀对粘结强度、粘结刚度损失具有较好的延缓作用。
(2)分析了不同温度作用后粘结强度与混凝土抗压强度、钢筋极限强度的关系,与钢筋极限强度相比,粘结强度更易受混凝土抗压强度的影响。
(3)本文建立了考虑温度、锈蚀率等因素下简化的粘结-滑移关系式,其模型简单且具有一定的适用范围,可为混凝土结构的有限元分析提供一定的理论参考。
参考文献:
[1]施锦杰, 孙伟, 耿国庆. 碳化对模拟混凝土孔溶液中HRB335钢腐蚀行为的影响 [J]. 金属学报, 2011,47(1): 17―24.Shi Jinjie, Sun Wei, Geng Guoqing. Influence of carbonation on corrosion performance of steel HRB335 in simulated concrete pore solution [J]. Acta. Metall.Sin., 2011, 47(1): 17―24. (in Chinese)
[2]Mehta P K. Durability of concrete-fifty years of progress[J]. Special Publication, 1991, 126: 1―32.
[3]徐港. 锈蚀钢筋混凝土粘结锚固性能研究[D]. 武汉:华中科技大学, 2007.Xu Gang. Research on Anchorage Properties for corroded bars in Concrete [D]. Wuhan: Huazhong University of Science and Technology, 2007. (in Chinese)
[4]杨海峰, 邓志恒, 覃英宏. 钢筋锈蚀后与再生混凝土间粘结-滑移本构关系研究[J]. 工程力学, 2015, 32(10):114―122.Yang Haifeng, Deng Zhiheng, Qin Yinghong.Experimental study on bond-slip relationship between corroded rebar and concrete [J]. Engineering Mechanics,2015, 32(10): 114―122. (in Chinese)
[5]Fang C, Lundgren K, Chen L, et al. Corrosion influence on bond in reinforced concrete [J]. Cement & Concrete Research, 2004, 34(11): 2159―2167.
[6]Zhao Y X, Lin H W, Wu K, et al. Bond behaviour of normal/recycled concrete and corroded steel bars [J].Construction & Building Materials, 2013, 48(11): 348―359.
[7]Tondolo F. Bond behavior with reinforcement corrosion[J]. Construction & Building Materials, 2015, 93(9):926―932.
[8]Wu Y Z, Lv H L, Zhou S C, et al. Degradation model of bond performance between deteriorated concrete and corroded deformed steel bars [J]. Construction &Building Materials, 2016, 119(8): 89―95.
[9]Ma Y, Guo Z, Wang L, et al. Experimental investigation of corrosion effect on bond behavior between reinforcing bar and concrete [J]. Construction & Building Materials,2017, 152(10): 240―249.
[10]肖建庄, 雷斌. 锈蚀钢筋与再生混凝土间粘结性能试验研究[J]. 建筑结构学报, 2011, 32(1): 58―62.Xiao Jianzhuang, Lei Bin. Experimental study on bond behavior between corroded steel bars and recycled concrete [J]. Journal of Building Structures, 2011, 32(1):58―62. (in Chinese)
[11]Diederichs U, Schneider U. Bond strength at high temperatures [J]. Magazine of Concrete Research, 1981,33(115): 75―84.
[12]Bingöl A F, Gül R. Residual bond strength between steel bars and concrete after elevated temperatures [J]. Fire Safety Journal, 2009, 44(6): 854―859.
[13]Ergün A, Kürklü G, Başpınar M S. The effects of material properties on bond strength between reinforcing bar and concrete exposed to high temperature [J].Construction & Building Materials, 2016, 112(6): 691―698.
[14]Yang H F, Lan W, Qin Y, et al. Evaluation of bond performance between deformed bars and recycled aggregate concrete after high temperatures exposure [J].Construction & Building Materials, 2016, 112(6): 885―891.
[15]Li Q, Huang X, Huang Z, et al. Bond characteristics between early aged fly ash concrete and reinforcing steel bar after fire [J]. Construction & Building Materials,2017, 147(8): 701―712.
[16]吴昊, 陈礼刚. 高温后钢筋混凝土粘结性能试验研究[J]. 工业建筑, 2010, 40(2): 105―108.Wu Hao, Chen Ligang. Tests and analysis of bond performance between bars and concrete after exposed to high temperature [J]. Industrial Construction, 2010,40(2): 105―108. (in Chinese)
[17]牛建刚, 郝吉, 孙立斌, 等. 塑钢纤维轻骨料混凝土与钢筋粘结锚固试验研究[J]. 工程力学, 2017, 34(2):42―49.Niu Jiangang, Hao Ji, Sun Libin, et al. Research on bond-anchorage behavior between deformed bars and fiber reinforced lightweight aggregate concrete [J].Engineering Mechanics, 2017, 34(2): 42―49. (in Chinese)
[18]Bodnárová L, Zach J, Hroudová J, et al. Methods for determination of the quality of concretes with respect to their high temperature behavior [J]. Procedia Engineering, 2013, 65(9): 260―265.
[19]赵卫平, 肖建庄. 带肋钢筋与混凝土间粘结滑移本构模型[J]. 工程力学, 2011, 28(4): 164―171.Zhao Weiping, Xiao Jianzhuang. On bond-slip constitutive model between ribbed steel bars and concrete [J]. Engineering Mechanics, 2011, 28(4): 164―171. (in Chinese)
[20]王博, 白国良, 代慧娟, 等. 再生混凝土与钢筋粘结滑移性能的试验研究及力学分析[J]. 工程力学, 2013,30(10): 54―64.Wang Bo, Bai Guoliang, Dai Huijuan, et al.Experimental and mechanical analysis of bond-slip performance between recycled concrete and rebar [J].Engineering Mechanics, 2013, 30(10): 54―64. (in Chinese)
[21]徐有邻. 钢筋混凝土粘滑移本构关系的简化模型[J].工程力学, 1997, 14(增刊 2): 34―38.Xu Youling. A simplified model for the constitutive relationship of reinforced concrete [J]. Engineering Mechanics, 1997, 14(Suppl 2): 34―38. (in Chinese)
[22]Haskett M, Oehlers D J, Ali M S M. Local and global bond characteristics of steel reinforcing bars [J].Engineering Structures, 2008, 30(2): 376―383.
BOND PERFORMANCE BETWEEN SLIGHTLY CORRODED STEEL BARS AND CONCRETE AFTER EXPOSED TO HIGH TEMPERATURES
CHEN Jun1, ZHANG Bai1, YANG Ou2, JIANG En-hao1
(1. College of Civil Engineering and Mechanics, Xiangtan University, Xiangtan, Hu’nan 411105, China;2. College of Civil Engineering, Hunan University, Changsha, Hu’nan 410082, China)
Abstract:The influence of high temperature exposure on the bond strength between corroded steel bars and concrete was investigated using pull-out tests. After being exposed to temperatures of (20 ℃, 200 ℃, 400 ℃,600 ℃ and 800 ℃), the bond strength between concrete and reinforcing bars with reinforcement mass loss percentages of 0% and 1.08% was tested. The experimental results indicated that the ultimate bond strength between reinforcement and concrete decreases with the increasing temperature. The ultimate bond strength of the corroded specimens had less strength loss compared to the un-corroded specimens as the temperature was below 400ºC. The variation laws of the compressive strength of concrete, the ultimate strength of steel bars and the bond strength between steel bars and concrete were analyzed after the specimens being exposed to high temperatures.Besides, the bond-slip relationship considering the influence of the temperature and corrosion is established.
Key words:high temperature; corroded reinforced-concrete; bond behavior; pull-out test; bond-slip relationship
蒋恩浩(1990―),男,河南南阳人,硕士生,从事装配式混凝土结构研究(E-mail: 1059778500@qq.com).
张 白(1991―),男,湖南宁乡人,硕士生,从事混凝土结构抗火及锈蚀耐久性研究(E-mail: baizhang1120@126.com);
陈 俊(1973―),男,湖南常德人,副教授,博士,主要从事装配式混凝土结构及抗火研究(E-mail: chenjun0325@126.com);
作者简介:
通讯作者:杨 鸥(1981―),男,湖南宁远人,助理教授,博士,主要从事锈蚀钢筋混凝土结构性能评估(E-mail: ouyanghnu@hnu.edu.cn).
基金项目:国家自然科学基金面上项目(51578229)
收稿日期:2017-06-22;修改日期:2017-09-11
文章编号:1000-4750(2018)10-0092-09
doi:10.6052/j.issn.1000-4750.2017.06.0491
文献标识码:A
中图分类号:TU375.4;TU502