基于细观模拟的轻骨料混凝土动态压缩破坏及尺寸效应分析

金 浏,杨旺贤,余文轩,杜修力

(北京工业大学城市减灾与防灾防护教育部重点实验室,北京 100124)

摘 要:轻骨料混凝土由于其轻质及保温隔热性能好等优点,越来越多被应用于实际工程结构。采用细观数值模拟方法,将轻骨料混凝土看作由骨料颗粒、砂浆基质及两者间界面过渡区组成的三相复合材料,采用塑性损伤本构关系模型,考虑应变率效应的影响,建立了对应的细观随机骨料模型,研究了轻骨料混凝土在动态压缩作用下的破坏行为及尺寸效应规律。发现:随着应变率的增加,惯性效应逐渐成为主导效应,动态压缩强度的尺寸效应逐渐被削弱,达到临界应变率时,尺寸效应被完全抑制。此外,结合率效应影响机制与规律,揭示了轻骨料混凝土动态压缩强度的尺寸效应机理,建立了“静动态统一”的尺寸效应半经验-半理论公式。

关键词:轻骨料混凝土;动态压缩;应变率效应;尺寸效应;细观模拟

近年来,随着建筑节能要求的不断提高及建筑业的工业化、机械化和装配化的不断推广,以及超高层、大跨度建筑结构的不断涌现,轻骨料混凝土由于其轻质、抗震性能好等优点,得到了广泛运用。

随着轻骨料混凝土的大量使用,研究者开始关注轻骨料混凝土力学性能方面的研究,Cui等[1]研究了轻骨料的体积分数和骨料性能对轻骨料混凝土力学性能的影响;Kayali等[2]研究了钢纤维对轻骨料混凝土力学性能的影响情况;Agnesini和João[3]研究了丁苯胶乳改性对轻骨料混凝土耐久性的影响;曹擎宇等[4]选取普通混凝土、轻骨料混凝土、纤维混凝土和聚合物改性混凝土为试件进行尺寸效应研究,结果表明轻骨料混凝土因脆性更大而具有更明显的尺寸效应现象;Wu等[5]揭示了轻骨料和普通骨料全尺寸钢筋混凝土梁的尺寸效应规律。这些研究工作促进了对轻骨料混凝土材料及构件层次静态力学性能及尺寸效应的认识,但对其动态力学性能的研究还远远不足。

本质上来说,混凝土内部组成具有明显的非均质性特征,使得其具有明显的尺寸效应及应变率效应,目前在两者各自特性的研究方面已取得了卓越的成绩,而关于两者耦合作用下力学行为的研究还非常薄弱。Li等[6]开展了普通混凝土SHPB动态压缩试验,认为动态加载下试件尺寸对混凝土动态强度影响不大;Elfahal和Krauthammer[7]开展了动态压缩作用下普通混凝土尺寸效应试验,发现动态加载下名义强度随尺寸增大而降低,尺寸效应行为更为显著;Wang等[8]开展了RCC混凝土SHPB轴压试验发现:动态加载下混凝土压缩强度随试件尺寸的增大而增大。总体来说,由于试验设备与条件限制,开展物理试验来研究动态加载下混凝土破坏的尺寸效应行为是难以实现的,尤其对于高应变率下大尺寸试件的破坏试验。近来,Jin等[9]采用细观数值模拟方法,研究了动态压缩加载下普通混凝土材料的尺寸效应行为,揭示了应变率效应对动态尺寸效应的影响机制。

本文拟在上述研究工作的基础上,借助细观尺度数值模拟方法,以轻骨料混凝土为研究对象,研究其在动态单轴压缩作用下的破坏行为及尺寸效应规律,从细观角度揭示其破坏机理,进而建立对应的“静、动态统一”的尺寸效应律理论。

1 细观数值分析模型及方法

1.1 细观数值模型的建立

混凝土材料尺寸效应及其力学性能非线性行为根源于其细观组成的非均质性[10―11],本文将轻骨料混凝土看作由粗细骨料颗粒、砂浆基质及两者之间界面过渡区组成的三相复合材料,建立了混凝土随机骨料模型,典型的模型示意图如图1所示。需要说明的是,这里采用二级配混凝土,考虑到如图1所示实际工程中圆形轻骨料颗粒,且参照Sadouki和Wittmann[12]及Cusatis等[13]在细观模拟中对骨料形状的研究工作,将骨料颗粒假定为圆形,基于Monte-Carlo方法采用经典的“取-放”方法[14]对骨料颗粒进行随机投放,建立不同试件尺寸(b=100 mm~450 mm)的方形轻骨料混凝土细观力学分析模型,界面过渡区是介于骨料颗粒与砂浆基质之间的等厚薄层,考虑到计算量的限制,界面过渡区厚度取1 mm。网格划分采用常应变三角形单元,网格平均尺寸为1 mm,该处理方法同文献[15―17]。

图1 细观数值模型示意图
Fig.1 Schematic diagram of mesoscopic numerical model

混凝土试件采用恒定速度v控制加载,针对名义应变率,其对应的加载速度为v=b(其中,b为试件高度)。试件底部采用竖向约束,两侧为自由边界。荷载及边界条件如图1所示。

1.2 本构关系及材料参数确定

同一些学者[16―18]的工作,砂浆基质及界面过渡区的力学行为与混凝土类似,采用Lee和Fenves[19]提出的塑性损伤本构关系模型来描述其力学行为。轻骨料颗粒多孔的特性导致其质量轻且强度低,轻骨料混凝土的破坏形态不同于普通混凝土,并非只沿界面过渡区或者砂浆基质进行破坏,而常常是轻骨料颗粒本身的压碎或拉裂破坏。目前,针对轻骨料颗粒材料,尚无合理的本构模型可以借鉴,这里亦暂采用塑性损伤本构模型来描述轻骨料颗粒的破坏行为。

该塑性损伤本构关系模型认为拉裂和压碎是混凝土等脆性材料两种主要破坏方式,破坏面主要由等效塑性拉应变和等效塑性压应变两个强化参数确定。其应力-应变关系[19]可以表述为:

式中:σt为拉应力;σc为压应力;εt为拉应变;εc为压应变;E0为初始弹性模量;为塑性拉应变;为塑性压应变;dt为受拉损伤因子;dc 为受压损伤因子,其值为0时表示未损伤,为1时表示完全破坏。

在ABAQUS中,用户可以通过自开裂应变、受压非弹性应变来定义应力-应变曲线的软化阶段,ABAQUS内嵌程序可以按式(3)和式(4)将开裂应变、受压非弹性应变转化为受拉、受压塑性应变。

需要说明的是,因为软化计算问题的存在,该塑性损伤模型由于缺乏特征长度,因此会在计算中不可避免地存在网格敏感性问题。为有效避免或缓解由于应变软化导致的网格敏感性问题,本构模型的上升段采用应力-应变关系来描述,而其下降段曲线则采用应力-拉伸裂缝位移的方式来描述。这使得单元破坏时所需要的断裂能是唯一的,因而可以有效地减小网格敏感性问题。

另外,轻骨料混凝土力学性能的细观数值模拟中,首要工作便是确定三相材质(轻骨料颗粒、砂浆基质及界面过渡区)的力学参数,本文所采用的各细观组分力学参数如表1所示,各参数的取值主要取自于文献[20―21]。

相比于抗压和抗拉强度,混凝土其他力学参数如弹性模量、泊松比及断裂能等应变率敏感性较弱[21―22]。鉴于此,本文数值模拟中,对于砂浆基质和界面过渡区,仅仅考虑材料强度的放大行为,即细观组分应变率效应采用其强度放大系数DIF(动态强度/静态强度)来表示,该处理方法与文献[23―25]相同。而轻骨料率效应方面的研究几乎没有,本文暂且同样采用强度放大效应来处理。

表1 三相材质主要力学参数
Table 1 Main mechanical parameters of three-phase material

注:′ 取自文献[20];*取自文献[21];^为反复试算参数。

参数 轻骨料颗粒 砂浆基质 界面过渡区密度ρ/(kg/m3) 1400′ 2750* 2750*弹性模量E/GPa 16′ 38* 26泊松比ν 0.22′ 0.2* 0.2*剪胀角ψ/(°) 30′ 18 15抗压强度σc /MPa 18′ 25.0^ 16.0^抗拉强度σt /MPa5.1′ 2.5^ 1.6^断裂能Gc/(J/m2) 20 50 30

CEB规范[26]中用来表征混凝土动态抗压强度提高因子(CDIF)的公式为:

式中:fcd为应变率时的混凝土动态抗压强度;fcs 为静态抗压强度lgγ=6.156α-0.49,其中α=(5+3fcu/4)-1fcu是混凝土立方体抗压强度。

1.3 细观数值模型的验证

同Bažant等[27]的数值模拟验证方式,本文参考王振宇等[28]开展的轻骨料混凝土力学试验进行模拟对比分析。当采用表1所示力学参数开展二维细观数值模拟时,得到的应力-应变曲线与王振宇等[28]试验结果进行对比,如图2所示。可以发现,轻骨料混凝土强度等级为LC20及LC30时,模拟与试验应力-应变曲线结果吻合良好,初步验证了细观力学方法的可行性及参数选取的合理性。

图2 模拟应力-应变关系与王振宇等[28]试验结果对比
Fig.2 Comparison of simulated stress-strain relation with Wang Zhenyu’s [28] test results

另外,本文对黄锦波[29]开展的轻骨料混凝土轴心抗压试验进行模拟。图3为二维数值模型及模拟破坏结果同黄锦波[29]试验的对比情况,发现模拟与试验破坏模式相同,即裂缝贯穿轻骨料颗粒,沿试件斜向贯通,形成斜向断裂带。

2 轻骨料混凝土动态压缩力学行为

2.1 动态压缩破坏行为

图4为不同应变率及不同截面尺寸下轻骨料混凝土试件的最终破坏模式。各截面尺寸试件下,在较低应变率时,裂纹数量较少,破坏时呈现出集中主干式的单一主裂纹破坏,裂缝带与混凝土试件边界所成的夹角约为45º,呈现出明显的剪切破坏,且破坏裂缝贯穿骨料颗粒。随着应变率的增加,试件中出现较多的斜向裂缝;当应变率达到1 s-1时,试件内部出现较多的贯通裂纹,且呈现出弥散状形态分布于试件中;随着应变率的提高,试件的破坏程度更加严重,若将低应变率下试件的破坏形态称为断裂,那么高应变率下试件的破坏用碎裂描述更为合适,此种现象与大量试验结果相吻合[30]

图3 模拟破坏结果与黄锦波[29]试验对比
Fig.3 Comparison of simulated failure results with Huang Jinbo’s [29] test

图4 不同截面尺寸及不同应变率下轻骨料混凝土试件最终破坏模式
Fig.4 Ultimate failure modes of lightweight aggregate concrete specimens with different section sizes and strain rates

裂纹弥散状分布的破坏形态,被认为是导致混凝土动力强度提高的重要因素之一,在静力荷载作用下,外荷载做功基本用于两个方面,即宏观主裂纹形成所耗散的能量和材料累积的应变能;而在高应变率下,随着裂纹数的增加,因细观单元的断裂破坏所耗散的能量与摩擦耗能等都随之增加,另外考虑到试件中单元所产生的动能,总体而言试件对外部能量的需求大大增加,导致混凝土试件宏观动力强度的提高。

各个应变率下,随着混凝土试件截面尺寸的增加,试件破坏时,内部的损伤裂纹越来越多,出现十字交叉现象。在微观结构理论中,混凝土破坏时具有裂缝带和应变能释放区,裂缝带由多条微裂缝发展汇聚形成。截面尺寸较小时,混凝土试件的破坏表现为少量裂缝的贯通及加剧,从而来达到能量的释放,随着截面尺寸的增加,试件的破坏表现为大量裂缝的贯穿,能量释放的“路径”也增多。

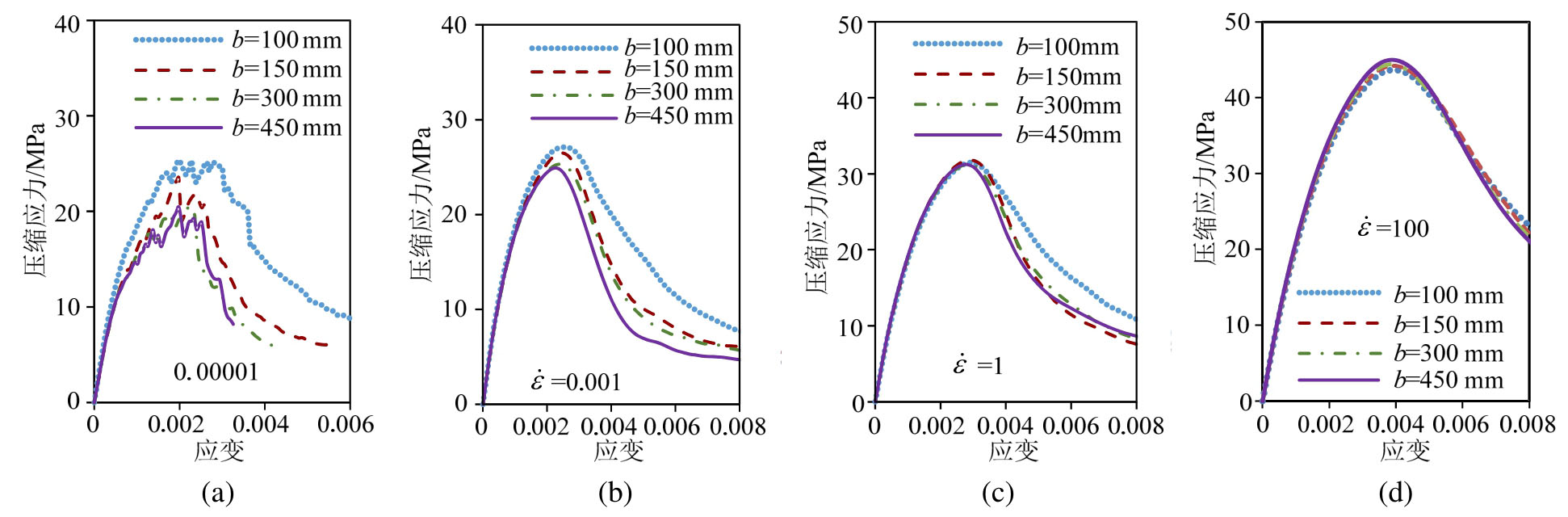
2.2 动态压缩应力-应变曲线

图5为各应变率不同截面尺寸下轻骨料混凝土动态压缩应力-应变关系曲线。可以看出,在低应变率作用下,不同截面尺寸的混凝土试件动态压缩强度差别明显,即随着截面尺寸的增加,试件强度减小,表现出明显的尺寸效应现象,且当应变率时,不同截面尺寸混凝土试件强度差别最大,表现出最为明显的尺寸效应行为。

当应变率达到时,不同尺寸试件的峰值应力几乎没有差别,说明轻骨料混凝土压缩强度的尺寸效应被完全抑制。Malvar和Ross[31]根据试验数据对CEB模型中混凝土强度应变率强化方程进行了修改,认为低应变率和高应变率的转换点应为1 s-1,也即临界应变率同样本文认为1 s-1为本研究轻骨料混凝土动态压缩行为的临界应变率。对混凝土动态强度的提高而言,在转折点之前,粘性效应起主导作用,而在转折点之后,惯性效应起控制作用。

在更高应变率(如>11 s-1)下,不同尺寸轻骨料混凝土应力-应变近乎一致,混凝土动态强度仅略有提高,但总体变化不大。也即是,当应变率大于临界应变率后,混凝土由于惯性效应而产生的强度提高行为,与由于尺寸效应而产生的强度减弱行为抵消,使得轻骨料混凝土在高应变率下的尺寸效应消失。

3 轻骨料混凝土动态强度尺寸效应

3.1 应变率对压缩强度尺寸效应影响

图6为不同应变率下轻骨料混凝土动态压缩强度随试件截面尺寸的变化规律。可以看出:1) 如上文所述,随着应变率的增加,轻骨料混凝土试件动态压缩强度明显增加;2) 当应变率达到临界应变率时,强度退化斜率k(通过线性拟合得到,表征混凝土试件压缩强度随截面尺寸减小的速度快慢)最小,k=0.0003,说明拟合直线基本处于水平状态,即轻骨料混凝土动态压缩强度在此应变率下随截面尺寸几乎没有变化,尺寸效应被抑制。当应变率低于临界应变率时,轻骨料混凝土动态压缩强度随试件截面尺寸增大呈现减小的趋势,但强度退化斜率k随应变率的增大而减小,说明随应变率的增加,轻骨料混凝土尺寸效应逐渐受到抑制。这与前文[9]的结论一致。

而当应变率高于临界应变率时,斜率k随着应变率的增加而略有增加,即轻骨料混凝土动态压缩强度基本保持不变。该结论区别与前文[9]关于普通混凝土的情况,其具体解释见4.3节。

图5 轻骨料混凝土动态压缩应力-应变关系曲线
Fig.5 Dynamic compressive stress-strain curve of lightweight aggregate concrete

图6 不同应变率下轻骨料混凝土动态压缩强度随截面尺寸变化规律
Fig.6 Dynamic compressive strength of lightweight aggregate concrete varies with section size under different strain rates

图7为轻骨料混凝土试件动态压缩强度与应变率的对数的关系。可以看出,随着应变率的增大,强度呈现增大的趋势。另外,随着应变率的增加,对于不同截面尺寸试件,动态压缩强度增大幅度不同。尺寸越大,动态强度随应变率增加而增大的幅度越大。这说明尺寸越大,轻骨料混凝土试件的应变率敏感性越强,该结论与Wang等[8]试验结果一致。

图7 试件动态压缩强度与应变率的关系
Fig.7 Relation between dynamic compressive strength and strain rate of specimens

3.2 与Bažant尺寸效应律对比

目前,经典的混凝土材料静态尺寸效应理论主要有断裂力学尺寸效应理论、统计尺寸效应理论、多重分形尺寸效应理论、边界尺寸效应理论及全局(统一)尺寸效应理论。其中,Bažant基于断裂力学理论建立的断裂力学尺寸效应律[32]能够很好描述混凝土材料的失效行为,较好地反映混凝土材料破坏尺寸效应现象,因此被越来越多的学者所接受和使用,其表达式为:

式中:σNu为混凝土静态名义强度;为混凝土压缩强度;D为特征尺寸(这里取为试件宽度b);BD0为两个经验系数,均为常数,可根据数值模拟结果回归分析确定。为了将本文数值模拟得到的动态压缩强度数据与Bažant尺寸效应理论进行对比分析,将式(7)进行数学变换可得:

将式(8)转化成线性方程:

式中:相应参数AC的取值可通过对模拟数据进行回归分析后得到。

表2给出不同应变率下回归分析得到的经验参数值,将所得经验数值与Bažant尺寸效应律(SEL)、线弹性断裂力学理论(LEFM,针对完全脆性材料)以及塑性强度(Strength criterion:针对塑性材料,不考虑尺寸效应)进行对比,如图8所示。可以看出,低应变率下,轻骨料混凝土压缩强度模拟结果与Bažant尺寸效应律曲线吻合良好,且数据点趋近于LEFM曲线,表明轻骨料混凝土材料具有明显的尺寸效应行为;随着应变率的增大,模拟结果数据点逐渐上移,表明尺寸效应被削弱;当应变率≥1s-1时,模拟结果数据点与塑性强度线基本重合,尺寸效应被完全抑制。

表2 不同应变率下得到的BD0
Table 2 Parameters of B and D0 under different strain rates

注:取在应变率10-5 s-1作用下宽度b=100 mm试件的动态压缩强度,即′=25.37 MPa。

images/BZ_67_645_1592_683_1636.png/s- 1A C Bfc′/MPa B D0/mm 10-5 3.37×10-6 1.27×10-3 28.10 1.108376 10-3 1.16×10-6 1.24×10-3 28.36 1.1181074 10-1 4.82×10-7 1.12×10-3 29.83 1.1762331 1 2.23×10-8 1.00×10-3 31.56 1.24445005 10 -3.24×10-8 8.13×10-4 35.07 1.382-25074 100 -4.13×10-8 5.19×10-4 43.90 1.730-12558 200 -2.30×10-8 3.44×10-4 53.95 2.127-14910

图8 压缩强度模拟结果与Bažant尺寸效应理论对比
Fig.8 Comparison between simulated compression strength and Bažant’s SEL

3.3 轻骨料混凝土动态尺寸效应机理分析

Weibull统计尺寸效应理论[33]适用于在宏观裂缝起始位置破坏的结构,也就是当微裂缝刚刚开始发展,混凝土宏观名义应力即达到最大,与上文轻骨料混凝土动态压缩破坏历程分析相似,鉴于此,本节基于Weibull统计尺寸效应理论对轻骨料混凝土动态尺寸效应机理进行初步分析。

在准静态时,如统计尺寸效应理论所述,随着结构尺寸增大,材料强度减小,表现出明显的尺寸效应现象;随着应变率的增加,其产生的应力波在混凝土材料内部传播较快,导致试件变形迅速,裂纹没有足够的时间绕开强度较强的单元,使得随着应变率的增加,轻骨料混凝土强度随之增加;对不同截面尺寸的混凝土试件而言,大尺寸试件相比小尺寸试件在裂缝扩展时有更大的概率穿过弱强度材料单元,或者可以理解为大尺寸试件在破坏时,裂缝有更多的开展路径,所以,随着应变率的增加,大尺寸试件有更多的选择路径,也即大尺寸试件有更强的应变率敏感性;当达到临界应变率混凝土试件破坏时,裂缝不再“寻找”弱强度材料单元,而是沿着长度最短的剪切破坏斜裂缝进行开展,此时,混凝土试件截面尺寸的大小对压缩破坏强度不再有影响,尺寸效应现象消失,或者说尺寸效应行为被完全抑制;当应变率大于临界应变率时,随着应变率的增加,混凝土动态压缩强度增加,而尺寸效应现象消失。

另外,正如3.2节所述,应变率较小时,粘性效应是混凝土动态压缩强度提高的主导因素,而非惯性效应;随着应变率的增加,粘性效应贡献减弱,惯性效应逐渐成为主导效应。文献[9]提出,在动态荷载作用下,混凝土试件尺寸越大,惯性效应越强,在高应变率下,普通混凝土由于惯性效应表现出与静态相反的尺寸效应规律。而在高应变率作用时,轻骨料混凝土同样出现惯性效应,相同试件尺寸下,其动态压缩强度随应变率的增加大幅提高。

混凝土内部的惯性效应分为竖向惯性效应和横向惯性效应。其中,对于竖向惯性效应,与普通混凝土相比,轻骨料混凝土由于质量轻,使得其在动力荷载作用下,竖向惯性效应相对较弱,随着试件尺寸增大,由于竖向惯性效应产生的强度提高没有普通混凝土显著;而横向惯性效应主要对混凝土产生围压作用,以此来提高混凝土强度,与普通混凝土相比,轻骨料混凝土内部骨料破坏更为严重,且由于其质量较轻,所以由横向惯性效应产生的围压作用较弱。

综上所述,与普通混凝土在高应变率下表现出的尺寸效应规律不同,如图6所示,对于轻骨料混凝土而言,当应变率高于临界应变率时,斜率k随着应变率的增加仅略微有所增加,故而在下文所提出的“静动态统一”尺寸效应律中,认为高应变率下轻骨料混凝土动态压缩强度随试件截面尺寸变化基本保持不变。

4 动态尺寸效应律与验证

4.1 动态尺寸效应律

如上文所述,一方面,轻骨料混凝土材料动态压缩强度随着应变率的增加而增大,表现出明显的应变率效应行为;另一方面,应变率对轻骨料混凝土压缩强度尺寸效应也影响显著。

根据上文的模拟结果及理论分析可知,应变率对轻骨料混凝土压缩破坏行为的影响主要体现在两个方面。

1) 强度增强效应:即压缩强度随应变率的增加而增大,该影响可用强度增强系数φ来表示,根据CEB规范[27]中用混凝土动态抗压强度提高因子(CDIF)表征动态荷载下混凝土压缩强度的提高,因此,本文用φ=CDIF 来表征动态压缩强度的提高。

图9为截面尺寸100 mm×100 mm的轻骨料混凝土试件动态压缩强度放大系数CDIF与应变率的关系。本研究对该截面尺寸下模拟得到的动态强度放大系数进行拟合分析,得到高、低应变率下各自的拟合曲线及表达式(相关系数R2=0.96)。

低应变率下:

高应变率下:

2) 尺寸效应的削弱与抑制:在临界应变率之前,随应变率的增加,轻骨料混凝土压缩强度尺寸效应行为被逐渐削弱;当达到临界应变率之后,强度退化的尺寸效应行为被彻底抑制,尺寸效应消失,该影响用系数β来描述。

通过以上分析,在Bažant静态强度尺寸效应理论的基础之上,建立动态压缩强度σNu的尺寸效应公式:

式中:需要说明的是,BD0为“准静态”加载下通过回归分析得到的两个经验系数;为混凝土“准静态”压缩强度,φ取用本文的拟合结果(式(10)和式(11))即φ=CDIF ,另外,应变率对尺寸效应的影响系数β较为复杂,下文将重点讨论。

图9 动态压缩强度放大因子(CDIF)拟合曲线
Fig.9 Fitting curve for the dynamic compressive strength increase factor(CDIF)

4.2 尺寸效应影响系数β的确定

图10为尺寸效应影响系数β与应变率的关系曲线。当应变率时,为准静态(用表征)作用,此时,应变率对尺寸效应无影响,即β=1。

当应变率达到及大于临界应变率时,尺寸效应被完全抑制,此时,轻骨料混凝土动态压缩强度为:

联立式(8)和式(9),可得应变率≥1s-1时尺寸效应影响系数为:

当应变率介于之间时,可采用如图10所示的线性或非线性变化曲线来描述应变率对尺寸效应的影响,这里,暂且采用二次曲线关系来描述应变率对尺寸效应的影响作用,基于该假定及上述分析,可得尺寸效应影响系数β的表达式为:

综合式(10)~式(17),即为建立的动态尺寸效应律,该理论公式不仅可以反映轻骨料混凝土动态尺寸效应规律,而且也能反映静态尺寸效应,因此,该理论公式实际上是“静动态统一”的尺寸效应的半经验-半理论公式。

图10 尺寸效应影响系数β的确定
Fig.10 Determination of influence coefficient of size effect β

4.3 尺寸效应理论公式的验证

本节将验证上述建立的“静动态统一”尺寸效应理论公式的准确性与合理性。在验证之前,我们需要指定一些基准值(包括尺寸和应变率),以此来推导更多尺寸及应变率下轻骨料混凝土材料动态压缩强度,具体说明如下。

1) 将尺寸为100 mm×100 mm的轻骨料混凝土试件作为基准试件,其准静态抗压强度=25.37 MPa,其动态强度放大因子CDIF可详见拟合式(10)和式(11)。

2) 将准静态(=10-5s -1)加载下,以基准尺寸试件(边长100 mm)所对应的尺寸效应理论拟合参数BD0作为基准参数,即B=1.108,D0=376。

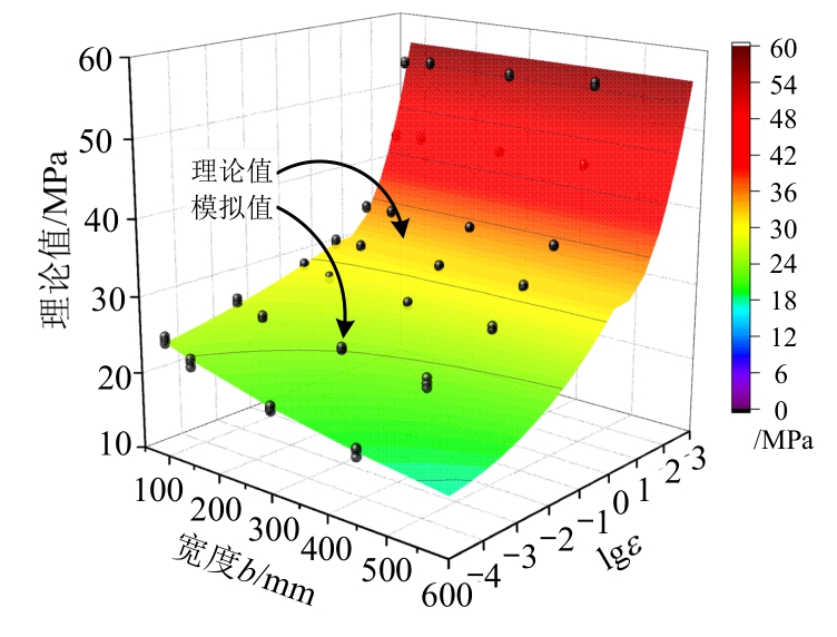
图11为本文所建立的尺寸效应理论公式预测结果与模拟结果的对比情况。可以发现,本文数值模拟动态压缩强度数据点与尺寸效应理论所建立的理论强度曲面吻合良好,表明本文建立的“静动态统一”尺寸效应理论公式可以很好地描述耦合应变率效应的轻骨料混凝土动态压缩强度尺寸效应规律,同时,也说明了此理论公式的合理性。

图11 理论值与模拟结果对比
Fig.11 Comparison between theoretical and numerical results

5 结论

本文通过细观数值模拟,将轻骨料混凝土看作由骨料颗粒、砂浆基质及两者之间界面过渡区组成的三相复合材料,研究动力荷载作用下,轻骨料混凝土压缩破坏尺寸效应行为,建立了“静动态统一”的尺寸效应理论公式。主要研究成果及结论如下:

(1) 轻骨料混凝土动态压缩强度尺寸效应存在一个临界应变率cr,即在该应变率下,动态压缩强度与试件尺寸无关,尺寸效应被完全抑制。

(2) 动态荷载作用下,应变率对轻骨料混凝土尺寸效应影响显著。低于临界应变率时,随着应变率的增加,尺寸效应行为逐渐被抑制;达到临界应变率及更高时,尺寸效应现象消失也即尺寸效应被完全抑制。

(3) 建立了“静动态统一”的尺寸效应理论公式,该公式能够很好描述轻骨料混凝土动态压缩强度尺寸效应行为,揭示了耦合应变率作用的轻骨料混凝土动态压缩强度的尺寸效应规律。

需要说明的是,关于轻骨料混凝土动力荷载作用下的试验数据还极少,文中仅用模拟结果来对比验证所提理论公式的合理性,在以后的工作中,还需要用大量的试验数据来验证所建立理论公式的准确性及合理性。

参考文献:

[1]Cui H Z, Lo T Y, Memon S A, et al.Effect of lightweight aggregates on the mechanical properties and brittleness of lightweight aggregate concrete[J].Construction and Building Materials, 2012, 35(10): 149―158.

[2]Kayali O, Haque M N, Zhu B.Some characteristics of high strength fiber reinforced lightweight aggregate concrete[J].Cement and Concrete Composites, 2003,25(2): 207―213.

[3]Agnesini M V C, João A R.Durability of polymer-modified lightweight aggregate concrete[J].Cement and Concrete Composites, 2004, 26(4): 375―380.

[4]曹擎宇, 孙伟, 郝挺宇, 等.不同类型混凝土弯曲强度尺寸效应[J].北京工业大学学报, 2013, 39(9): 1311―1315.Cao Qingyu, Sun Wei, Hao Tingyu, et al.Size effect on flexural strength of various concrete[J].Journal of Beijing University of Technology, 2013, 39(9): 1311―1315.(in Chinese)

[5]Wu C H, Kan Y C, Huang C H, et al.Flexural behavior and size effect of full scale reinforced lightweight concrete beam[J].Journal of Marine Science and Technology, 2011, 19(2): 132―140.

[6]Li M, Hao H, Shi Y, et al.Specimen shape and size effects on the concrete compressive strength under static and dynamic tests[J].Construction and Building Materials, 2018, 161: 94―93.

[7]Elfahal M M, Krauthammer T.Dynamic size effect in normal-and high-strength concrete cylinders[J].ACI Materials Journal, 2005, 102(2): 77―85.

[8]Wang X, Zhang S, Wang C, et al.Experimental investigation of the size effect of layered roller compacted concrete (RCC) under high-strain-rate loading[J].Construction and Building Materials, 2018, 165: 45―57.

[9]Jin L, Yu W X, Du X L, et al.Meso-scale modelling of the size effect on dynamic compressive failure of concrete under different strain rates[J].International Journal of Impact Engineering, 2019, 125: 1―12.

[10]Du X L, Jin L, Ma G W.Meso-element equivalent method for the simulation of macro mechanical properties of concrete[J].International Journal of Damage Mechanics, 2013, 22(5): 617―642.

[11]Du X, Jin L, Ma G.A meso-scale analysis method for the simulation of nonlinear damage and failure behavior of reinforced concrete members[J].International Journal of Damage Mechanics, 2013, 22(6): 878―904.

[12]Sadouki H, Wittmann F H.On the analysis of the failure process in composite materials by numerical simulation[J].Materials Science and Engineering A, 1988, 104(6): 9―20.

[13]Cusatis G, Mencarelli A, Pelessone D, et al.Lattice discrete particle model (LDPM) for failure behavior of concrete.II: Calibration and validation[J].Cement and Concrete Composites, 2011, 33(9): 891―905.

[14]Grassl P, Grégoire D, Solano L R, et al.Meso-scale modelling of the size effect on the fracture process zone of concrete[J].International Journal of Solids and Structures, 2012, 49(13): 1818―1827.

[15]Zhou X Q, Hao H.Modelling of compressive behaviour of concrete-like materials at high strain rate[J].International Journal of Solids & Structures, 2008, 45(17):4648―4661.

[16]Jin L, Xu C, Han Y, et al.Effect of end friction on the dynamic compressive mechanical behavior of concrete under medium and low strain rates[J].Shock and Vibration, 2016, 2016: 1―20.

[17]Du X, Jin L, Ma G.Numerical simulation of dynamic tensile-failure of concrete at meso-scale[J].International Journal of Impact Engineering, 2014, 66(4): 5―17.

[18]金浏, 杜修力.加载速率对混凝土拉伸破坏行为影响的细观数值分析[J].工程力学, 2015, 32(8): 42―49.Jin Liu, Du Xiuli.Meso-scale numerical analysis of the effect of loading rate on the tensile failure behavior of concrete[J].Engineering Mechanics, 2015, 32(8): 42―49.(in Chinese)

[19]Lee J, Fenves G L.Plastic-damage model for cyclic loading of concrete structures[J].Journal of Engineering Mechanics, 1998, 124(8): 892―900.

[20]王立成, 陈桂斌.基于细观刚体弹簧元的轻骨料混凝土力学性能数值模拟[J].水利学报, 2008, 39(5): 80―87.Wang Licheng, Chen Guibin.Mesoscopic simulation for mechanical properties of lightweight aggregate concrete by rigid body spring model[J].Journal of Hydraulic Engineering, 2008, 39(5): 80―87.(in Chinese)

[21]Dilger W H, Koch R, Kowalczyk R.Ductility of plain and confined concrete under different strain rates[J].Journal Proceedings, 1984, 81(1): 73―81.

[22]Bischoff P H, Perry S H.Compressive behaviour of concrete at high strain rates[J].Materials and Structures,1991, 24(6): 425―450.

[23]Hao Y, Hao H, Li Z X.Influence of end friction confinement on impact tests of concrete material at high strain rate[J].International Journal of Impact Engineering, 2013, 60: 82―106.

[24]Zhou X Q, Hao H.Modelling of compressive behaviour of concrete-like materials at high strain rate[J].International Journal of Solids and Structures, 2008,45(17): 4648―4661.

[25]Cusatis G.Strain-rate effects on concrete behavior[J].International Journal of Impact Engineering, 2011, 38(4):162―170.

[26]Comite Euro-International D B.CEB-FIP model code 1990[S].Trowbridge, Wiltshire, UK: Redwood Books,1991.

[27]Bažant Z P, Caner F C, Adley M D, et al.Fracturing rate effect and creep in micro-plane model for dynamics[J].ASCE Journal of Engineering Mechanics, 2000, 126(9):962―970.

[28]王振宇, 丁建彤, 郭玉顺.结构轻骨料混凝土的应力-应变全曲线[J].混凝土, 2005(3): 39―41.Wang Zhenyu, Ding Jiantong, Guo Yushun.Stress-strain curves of structural lightweight aggregate concretes[J].Concrete, 2005(3): 39―41.(in Chinese)

[29]黄锦波.轻骨料混凝土和粉煤灰混凝土强度尺寸效应研究[D].北京: 北京建筑工程学院, 2007.Huang Jinbo.Study on strength size effect of lightweight aggregate concrete and fly ash concrete[D].Beijing:Beijing Institute of Civil Engineering and Architecture,2007.(in Chinese)

[30]刘传雄, 李玉龙, 吴子燕, 等.混凝土材料的动态压缩破坏机理及本构关系[J].振动与冲击, 2011, 30(5):1―5.Liu Chuanxiong, Li Yulong, Wu Ziyan, et al.Failure mechanism and constitutive model of a concrete material under dynamic compressive loads[J].Journal of Vibration and Shock, 2011, 30(5): 1―5.(in Chinese)

[31]Malvar L J, Ross C A.Review of strain rate effects for concrete in tension[J].Materials Journal, 1998, 95(6):735―739.

[32]Bažant Z P, Planas J.Fracture and size effect in concrete and other quasibrittle materials[M].Routledge: CRC Press, 1998: 7―15.

[33]Weibull W.The phenomenon of rupture in solids[J].Proceedings of Royal Sweden Institute of Engineering Research, 1939, 153: 1―55.

DYNAMIC COMPRESSIVE FAILURE AND SIZE EFFECT IN LIGHTWEIGHT AGGREGATE CONCRETE BASED ON MESO-SCALE SIMULATION

JIN Liu , YANG Wang-xian , YU Wen-xuan , DU Xiu-li
(Key Laboratory of Urban Security and Disaster Engineering of Ministry of Education, Beijing University of Technology, Beijing 100124, China)

Abstract: Lightweight aggregate concrete (LWAC) is utilized more and more in practical engineering structures because of the light weight and good thermal insulation performance.In this study, LWAC was regarded a three-phase composite consisting of aggregate particles, a mortar matrix and the interface transition zone.A meso-scale simulation method for modelling the dynamic failure of concrete was established.The plastic damage constitutive model coupling with the effect of strain rate was adopted to describe the mechanical properties of concrete meso-components.The compressive failure behavior and size effect of LWAC under dynamic compressive loading were studied.The simulation results indicated that with the increase in strain rate, the inertia effect became dominant, and the size effect on dynamic compressive strength was gradually weakened and suppressed.At the critical strain rate, the size effect would be completely suppressed.In addition, according to the influence mechanism of strain rate effect, the mechanism of size effect on the dynamic compressive strength of LWAC was studied.A semi-empirical and semi-theoretical “static-dynamic unified size effect law” for quantitatively describing the size effect of LWAC was subsequently established.

Key words: lightweight aggregate concrete; dynamic compression; strain rate effect; size effect; meso-scale simulation

中图分类号:TU528.2

文献标志码:A

doi: 10.6052/j.issn.1000-4750.2019.01.0012

文章编号:1000-4750(2020)-03-0056-10

收稿日期:2019-01-12;修改日期:2019-04-04

基金项目:国家重点研发计划项目(2018YFC1504302);国家自然科学基金项目(51822801)

通讯作者:杜修力(1962―),男,四川广安人,长江学者特聘教授,博导,主要从事地震工程领域研究(E-mail: duxiuli@bjut.edu.cn).

作者简介:

金 浏(1985―),男,江苏泗阳人,教授,博士,博导,主要从事混凝土与混凝土结构领域研究(E-mail: jinliu@bjut.edu.cn);

杨旺贤(1994―),男,河南洛阳人,硕士生,主要从事混凝土结构尺寸效应方面研究(E-mail: yang_wangxian@163.com);

余文轩(1993―),男,浙江临海人,硕士生,主要从事混凝土结构尺寸效应方面研究(E-mail: ywxmailbox@163.com).