钢筋混凝土悬臂梁剪切破坏及尺寸效应律研究

金 浏,王 涛,杜修力,夏 海

(北京工业大学城市减灾与防灾防护教育部重点实验室,北京 100124)

摘 要:相比于混凝土材料,钢筋混凝土构件的破坏模式与机制更为复杂,采用混凝土材料层次的尺寸效应理论难以描述钢筋混凝土构件破坏的尺寸效应行为。为研究钢筋混凝土悬臂梁剪切破坏的尺寸效应行为,从细观角度出发,建立了钢筋混凝土悬臂梁三维细观尺度数值分析模型。结合现有试验数据,验证了细观模拟方法的可行性与合理性,进而拓展模拟与分析了剪跨比及配箍率对钢筋混凝土悬臂梁剪切破坏尺寸效应行为的影响规律,发现:剪跨比对悬臂梁抗剪承载力有较大影响,对尺寸效应的影响很小;配箍率的增大提高了悬臂梁抗剪承载力,同时削弱了梁的抗剪强度尺寸效应。根据剪跨比及配箍率对悬臂梁抗剪强度的影响机制与规律,基于Bažant材料层次尺寸效应律,建立了钢筋混凝土悬臂梁抗剪强度尺寸效应理论公式。对比模拟结果及试验数据,验证了所提尺寸效应理论公式的准确性与合理性。

关键词:钢筋混凝土悬臂梁;剪跨比;配箍率;抗剪强度;尺寸效应律

钢筋混凝土梁的失效模式主要包括弯曲破坏和剪切破坏2种,其中剪切破坏是最为危险的一类,通常表现出明显的脆性破坏特征。因此,钢筋混凝土梁的剪切破坏行为存在明显的尺寸效应现象[1-9]

众多试验研究工作均表明无腹筋钢筋混凝土梁抗剪强度存在尺寸效应现象。Kani[1]开展了梁高分别为150 mm~1220 mm、几何相似的无腹筋混凝土梁剪切破坏试验,Kin和Park[2]开展了梁高分别为170 mm~1000 mm高强钢筋混凝土无腹筋梁剪切破坏试验(其中,梁的配筋率为1.0%~4.7%,剪跨比为1.5~6.0),Chana[3]设计了36根钢筋混凝土简支梁(梁高分别为150 mm~750 mm)剪切破坏试验,Yu等[4]开展了最大梁高为1200 mm的无腹筋混凝土梁剪切破坏试验。以上试验结果均表明:无腹筋混凝土梁抗剪强度存在明显的尺寸效应现象。

虽然无腹筋钢筋混凝土梁剪切破坏尺寸效应行为已被众多试验研究所证实,但由于剪切破坏问题极为复杂,不同学者对机理有不同甚至是相悖的解释。Collins、Kuchma[5]和Lubell等[6]认为大尺寸构件受剪破坏会出现宽裂缝,这些宽裂缝会减小梁的骨料咬合力,从而使大尺寸梁在破坏时的剪应力降低。他们分析认为腹部裂缝的间距与梁高成正比,并提出了裂缝间距尺寸效应模型。而Bažant等[7]认为,裂缝间距尺寸效应模型是不合理的,在最大荷载时,可以忽略斜裂缝上通过骨料咬合作用而传递的剪力,尺寸效应与裂缝间距仅部分关联,大尺寸构件的剪切破坏呈现出接近线弹性断裂的趋势。Bažant和Kim[8]将断裂力学理论应用到钢筋混凝土梁抗剪承载力尺寸效应的研究中,认为产生尺寸效应的根本原因是较宽的斜裂缝使得混凝土中的残余拉应力减小,同时给出了相对应的尺寸效应系数。Bažant的尺寸效应律具有极为明确的理论基础,在综合考虑多种因素而进行的统计分析后,表现出了很强的适用性。

对于含有箍筋的混凝土梁,箍筋的存在限制了梁内裂缝的开展,进而使得骨料间的咬合作用增强,因而含有腹筋的钢筋混凝土梁力学行为更为复杂。众多学者对含腹筋混凝土梁抗剪承载力尺寸效应的认识仍然存在分歧。Lubell等[6]认为配置设计所要求的最低箍筋率,也能完全消除梁的抗剪强度尺寸效应现象。而Walraven和Lehwalter[9]开展的试验研究表明:超过最小配箍率的混凝土深梁,其抗剪强度依然表现出了明显的尺寸效应现象。Yu和Bažant[10]的数值结果同样表明,箍筋的存在仅能削弱梁的抗剪强度尺寸效应,即使梁内配置了很高的配箍率,尺寸效应也不能被完全抑制。Jin等[11]设计了最大梁高为1000 mm,剪跨比为2的钢筋混凝土悬臂梁在承受低周往复荷载作用下的剪切破坏试验,试验结果表明含有腹筋的悬臂梁在循环加载下的名义抗剪强度具有明显的尺寸效应现象。Bhal[12]的含腹筋混凝土细长梁受剪试验研究同样表明了梁的抗剪强度存在明显的尺寸效应现象。总体来说,腹筋对混凝土梁剪切破坏尺寸效应的影响机制极为复杂,研究者对此问题的认识还远远不足,需要开展更为深入的研究工作。

现有的尺寸效应理论,典型的包括Bažant[13]断裂力学理论尺寸效应律、Carpinteri等[14]基于分形理论的尺寸效应律以及Weibull[15]统计尺寸效应律等,均是针对混凝土等脆性材料,采用理论推导及半理论半经验等手段建立起来的理论公式,它们局限于混凝土材料层次,且仅能体现“结构尺寸”这一因素的大致影响。实际上,对于钢筋混凝土梁,配箍率、剪跨比等均为影响强度及尺寸效应的重要因素。因此,以上适用于材料层次的尺寸效应理论难以反映构件层次破坏的尺寸效应行为,亦不能体现配箍率及剪跨比对强度尺寸效应的定量影响。

本文采用三维细观随机骨料模型,运用数值模拟手段,分析了剪跨比及配箍率对钢筋混凝土梁剪切破坏尺寸效应行为的影响机制。结合经典的Bažant材料层次尺寸效应律,提出了考虑剪跨比及配箍率影响的钢筋混凝土梁抗剪强度尺寸效应半经验-半理论公式。

1 钢筋混凝土悬臂梁三维数值模型

1.1 细观数值模型的建立

从细观层次考虑,混凝土可看作是由骨料颗粒、砂浆基质以及两者间的界面过渡区[16]组成的三相非均质复合材料。参照Du等[17]的工作,将粗骨料颗粒假定为球体,混凝土采用二级配(粗骨料最小等效粒径为12 mm,最大等效粒径为30 mm),骨料体积分数为30%,通过随机投放的方法将粗骨料颗粒投放到砂浆基质中,并将粗骨料周围1 mm的薄层设定为界面过渡区,进而生成素混凝土三维细观模型。将有限元网格在三维结构上进行投影,然后按照各组分在网格中的相对位置判定单元类型,并设置相应的材料属性。插入钢筋笼,进而生成钢筋混凝土悬臂梁三维细观力学分析模型。为减少模型计算量,提高计算工作效率,混凝土各相组分按照八节点六面体减缩积分单元进行划分,钢筋采用梁单元进行离散,网格单元平均尺寸为2 mm。加载方式采用位移控制加载。细观几何模型及加载方式如图1(a)所示。

图1 钢筋混凝土悬臂梁三维细观数值模型
Fig.1 3D mesoscopic numerical model of RC cantilever beam

1.2 细观组分本构关系

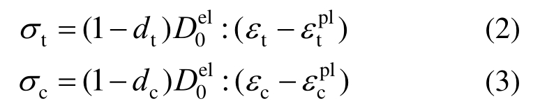
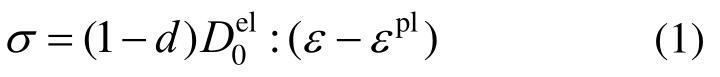
通常认为,骨料颗粒强度较高,静力加载时不产生大变形,因此,将骨料单元力学属性设为弹性体。对于砂浆基质及界面过渡区,其力学性能采用塑性损伤本构模型[18]来描述,即假定材料的破坏形式主要分为拉伸损伤和压碎破坏,用各向同性损伤变量描述拉伸损伤和压缩损伤引起的刚度退化行为,其具体的应力-应变关系为:

式中:为初始弹性矩阵;d表示损伤变量;εpl表示塑性应变张量。其中,弹性刚度的退化具有两个损伤变量:拉伸损伤因子dt和压缩损伤因子dc,拉伸和压缩下的应力-应变关系分别为:

钢筋视为均质材料,采用理想弹塑性本构模型描述其力学行为。本文采用《混凝土结构设计规范》(GB 50010―2010)[19]推荐的钢筋-混凝土粘结滑移(τ-s)本构关系模型,即通过设置非线性弹簧单元来描述钢筋与混凝土之间的粘结滑移行为。弹簧单元的设置形式及其粘结应力τ-滑移量s关系如图1(b)所示,图中各关键点的确定方法详见文献[20]。

1.3 细观数值模型的验证

Jin等[11]设计了几何相似的5组不同尺寸的钢筋混凝土悬臂梁构件(纵筋率为1.14%,箍筋率为0.14%),研究了含腹筋悬臂梁在地震循环往复加载下的抗剪破坏行为,并揭示了名义抗剪强度的尺寸效应规律。本文以其中的1组试件作为模拟对象,验证上文所建立的细观数值模型的适用性。进而在此基础上开展了更大尺度的悬臂梁剪切破坏模拟试验,探究剪跨比和配箍率两大因素对梁抗剪强度尺寸效应的影响规律。

在Jin等[11]的试验中,所用混凝土强度等级为C35,实测抗压强度37.1 MPa;纵筋采用HRB335级钢筋,箍筋采用HPB235级钢筋。

混凝土3种细观组分及钢筋力学参数如表1所示,包括拉伸/压缩强度,断裂能等力学参数。其中:“*”所示的力学参数为实测数据;“^”所示的界面力学参数是通过反复试算确定的界面力学参数[21]。具体的做法是将实际的砂浆基质的力学参数进行不同程度的折减(如70%~85%),作为界面力学参数的试算值,然后对混凝土立方体试块(边长为150 mm)进行反复的压缩破坏数值模拟试验,选取最接近实测混凝土抗压强度的1组数据作为界面力学参数。

表1 混凝土细观组分及钢筋力学参数
Table 1 Mechanical parameters of the three meso components of concrete and reinforcing bars utilized

注:*为试验实测值[11];^为反复试算选值;其他力学数据为默认值。

组分 粗骨料砂浆基质界面过渡区纵筋箍筋抗压强度σc/MPa *39.9 ^31.9抗拉强度σt/MPa *3.9 ^3.2断裂能Gc/(J/m2) 50 30弹性模量E/GPa *70 *42.8 ^38.7 *196*210泊松比ν *0.2 *0.2 ^0.2 *0.3 *0.3屈服强度fy/MPa *392.1*297.9

在进行大量的反复试算后,发现采用表1中的力学参数时,获得的混凝土单轴压缩强度为37.2 MPa,与实测强度37.1 MPa非常接近。因而可认为该界面力学参数选取的合理性。

为验证上述细观尺度数值模拟方法的合理性与有效性,结合试验开展了悬臂梁剪切破坏数值模拟。图2(a)为试验结果与模拟结果破坏模式对比图。在低周往复荷载作用下,试验梁最终产生X形裂缝,梁的两侧由于受拉而产生了细微裂纹,但破坏时的主裂缝从固定端一侧斜向贯通至加载点附近,主裂缝处的混凝土由于受拉严重并达到极限拉应变而部分脱落,底部混凝土受压并达到极限压应变而脱落,悬臂梁最终破坏。图2(b)为骨架曲线对比图。模拟得到的骨架曲线大致形状及荷载峰值均与试验结果吻合较好,只有反向加载段的曲线走向与试验结果有部分偏差。

图2 试验与模拟结果对比
Fig.2 Comparison of the test and simulation results

综上所述,采用本文介绍的模拟方法在梁的破坏模式及抗剪承载能力等方面均可得到合理的结果,验证了模型的合理性及准确性。

2 剪跨比对抗剪强度尺寸效应的影响

为研究剪跨比对钢筋混凝土悬臂梁抗剪强度及其尺寸效应的影响,采用上述方法,设计了剪跨比为1.0、1.5和2.0三组无腹筋悬臂梁单调加载下剪切破坏模拟试验,其中每组悬臂梁包含4种不同截面尺寸(100 mm×200 mm、200 mm×400 mm、400 mm×800 mm、800 mm×1600 mm)的构件。模型相关几何参数如表2所示。对于表2的试件名称,以“CB-1.0-0.0-200”为例,字母“CB”代表Concrete Beam(混凝土梁);数字“1.0”代表悬臂梁剪跨比λ为1.0;数字“0.0”代表配箍率为0.0%;数字“200”代表悬臂梁横截面高度为200 mm。因模型数量较多,表2只列出部分试件的几何参数,其它试件名称及参数可按命名方式类比得出。

表2 钢筋混凝土悬臂梁几何参数
Table 2 Geometrical parameters of the RC cantilever beam

试件名称 截面尺寸b×h/mm 保护层厚度C/mm 截面有效高度h0/mm剪跨比λ 梁长l=λ×h0 /mm纵筋配筋率ρ/(%) 配箍率ρsv/(%)CB-1.0-0.0-200 100×200 25 175 1.0 175 1.2 0.0 CB-1.0-0.0-400 200×400 30 370 1.0 370 1.2 0.0 CB-1.0-0.0-800 400×800 40 760 1.0 760 1.2 0.0 CB-1.0-0.0-1600 800×1600 50 1550 1.0 1550 1.2 0.0 CB-1.5-0.0-200 100×200 25 175 1.5 270 1.2 0.0 CB-1.5-0.0-400 200×400 30 370 1.5 560 1.2 0.0 CB-1.5-0.0-800 400×800 40 760 1.5 1140 1.2 0.0 CB-1.5-0.0-1600 800×1600 50 1550 1.5 2350 1.2 0.0 CB-2.0-0.2-200 100×200 25 175 2.0 350 1.2 0.0 CB-2.0-0.2-400 200×400 30 370 2.0 740 1.2 0.0 CB-2.0-0.2-800 400×800 40 760 2.0 1500 1.2 0.0 CB-2.0-0.2-1600 800×1600 50 1550 2.0 3100 1.2 0.0

2.1 坏模式描述

不同剪跨比(λ=1.0、1.5、2.0)下各无腹筋钢筋混凝土悬臂梁在单调荷载下最终破坏模式如图3所示。根据模型最终破坏的形态特点,可以判断所有试件均为剪切破坏。当剪跨比和梁截面尺寸都较小时,如CB-1.0-0.0-200,梁最终破坏时的主斜裂缝从加载点斜向延伸至固定端底部,混凝土形成多个斜向受压短柱而被压碎,具有明显的斜压破坏特征。随着剪跨比及截面尺寸的增大,悬臂梁破坏时有明显横向发展的弯曲裂缝。以CB-1.5-0.0-800为例,图4为该悬臂梁裂缝发展过程图。加载初期,梁内首先出现横向发展的弯曲裂缝,随后裂缝横向延伸,此阶段荷载位移曲线接近直线,梁刚度退化不显著,处于弹性阶段;随着荷载增大,横向裂缝开始斜向延伸;荷载进一步增大,新产生的裂缝斜向发展,并与已有斜裂缝逐渐贯通,此时梁刚度退化明显,荷载逐渐达到峰值;最终梁内形成由加载点到固定端底部的贯通斜裂缝,混凝土梁破坏。

2.2 无腹筋悬臂梁名义抗剪强度及尺寸效应分析

图5为相同尺寸,不同剪跨比的无腹筋悬臂梁荷载-位移(P-Δ)曲线。加载初期,曲线接近直线,梁刚度基本保持恒定,此时已经有细微裂缝出现;随后曲线出现一定程度的波动,刚度不稳定退化,此时裂缝开始斜向发展;继续加载,曲线仍处在上升阶段,但随着裂缝斜向扩展延伸,刚度退化明显;最终曲线达到峰值后陡降,梁刚度急剧退化,发生明显的脆性剪切破坏,完全失去承载能力。如图5所示,随着剪跨比的增大,梁抗剪承载力明显降低。小剪跨比(λ=1.0)时,梁的P-Δ曲线在峰值点后下降更为剧烈,表明斜压破坏相比于剪压破坏具有更强的脆性特征。

图3 不同剪跨比不同尺寸悬臂梁最终破坏形态
Fig.3 Ultimate failure modes of the cantilever beams with different sizes and different shear span ratios

图4 剪跨比为1.5梁高800 mm悬臂梁裂缝开展过程
Fig.4 Crack process of the cantilever beam with a height of 800 mm and a shear span ratio of 1.5

图5 相同尺寸试件在不同剪跨比下的P-Δ曲线
Fig.5 P-Δ curves of specimens of the same size at different shear span ratios

图6为3种剪跨比下的无腹筋悬臂梁名义抗剪强度随尺寸的变化趋势。相同尺寸的悬臂梁,剪跨比越小,名义抗剪强度越大。剪跨比最小(λ=1.0)的梁名义抗剪强度比剪跨比最大(λ=2.0)时提高近50%,说明剪跨比对抗剪强度值有着极为重要的影响。对于相同剪跨比的梁,名义抗剪强度随尺寸的增大而明显降低,梁高1600 mm比200 mm的梁名义抗剪强度下降近40%,表现出了明显的尺寸效应现象。但由于图6中3条趋势线基本平行,即不同剪跨比下,悬臂梁的名义抗剪强度随尺寸下降的趋势和速度相同,说明剪跨比对尺寸效应的影响较小。

图6 无腹筋悬臂梁名义抗剪强度
Fig.6 Nominal shear strength of cantilever beams without web reinforcement

Bažant基于断裂力学理论提出了适用于混凝土材料的尺寸效应理论公式[13]

式中:σNu为混凝土构件的名义抗剪强度;BD0为经验系数;D为混凝土构件的特征尺寸(这里即为梁截面高度);为混凝土抗拉强度,这里采用混凝土材料劈拉强度模拟值2.01 MPa。将式(4)转化为线性方程:

式中:对模拟数据进行回归分析,得到了不同剪跨比下无腹筋钢筋混凝土悬臂梁名义抗剪强度随构件尺寸变化的双对数曲线,如图7所示。图7的斜线(其斜率为-1/2)代表了线弹性断裂力学理论(LEFM:针对完全脆性材料),水平线代表塑性强度(Strength criterion:针对塑性材料,不考虑尺寸效应),同时,还将模拟结果同Bažant尺寸效应律(SEL)进行了拟合对比,拟合相关系数R2为0.99,说明钢筋混凝土悬臂梁抗剪强度尺寸效应结果与Bažant尺寸效应律吻合良好。图7相同尺寸不同剪跨比的数据点基本重合,同样表明剪跨比对抗剪强度尺寸效应的影响很小,可忽略不计。但在进行强度设计时仍需考虑剪跨比对强度值的影响。

图7 无腹筋悬臂梁名义抗剪强度尺寸效应拟合
Fig.7 Size effect fitting of nominal shear strength of cantilever beams without web reinforcement

3 配箍率对抗剪强度尺寸效应的影响

对于含有腹筋的钢筋混凝土梁,箍筋一方面可以直接承受剪力,从而提高钢筋混凝土梁的抗剪承载力;另一方面,箍筋的存在可以限制裂缝开展,提高梁的延性,进而削弱抗剪强度尺寸效应。

基于上述剪跨比为2.0的无腹筋梁(即配箍率为零)剪切破坏模拟试验,对其配置了0.2%、0.4%、0.6%、0.8%这4种配箍率,进而探究配箍率对钢筋混凝土悬臂梁抗剪强度及其尺寸效应的影响规律。

3.1 破坏模式描述

配箍率不同,梁的破坏模式有些许差别。图8给出了0.4%配箍率下不同尺寸悬臂梁的最终破坏模式。对比无腹筋梁,配箍率增大,梁内裂缝横向开展的更加充分,受拉区混凝土裂缝增多,弯曲破坏现象更加明显,说明箍筋的存在改善了钢筋混凝土梁的延性。

3.2 含腹筋悬臂梁抗剪强度及尺寸效应分析

箍筋的存在增大了钢筋混凝土梁的抗剪承载力,同时改善了混凝土梁的延性,提高了变形能力。图9给出了相同尺寸,不同配箍率下的悬臂梁荷载-位移(P-Δ)曲线。对比配箍率为0.0%的结果,配有箍筋的梁抗剪承载力都有不同程度的提高,并且曲线在荷载达到峰值点后变得平缓,没有陡降段,说明梁的剪切延性得到明显改善。不同配箍率下峰值荷载对应的梁端位移没有较大变化。

图8 配箍率为0.4%时不同尺寸悬臂梁最终破坏形态
Fig.8 Ultimate failure modes of cantilever beams with different sizes at 0.4% stirrup ratio

图9 相同尺寸试件在不同配箍率下P-Δ曲线
Fig.9 P-Δ curves of specimens of the same size at different stirrup ratios

图10为不同配箍率下各悬臂梁的名义抗剪强度及其变化趋势。配箍率增大使得梁的名义抗剪强度增大,说明箍筋的存在提高了梁的抗剪承载能力。但名义抗剪强度随着梁高的增大仍有下降趋势,同样表现出尺寸效应现象。但随着配箍率的增大,这种下降趋势减小,趋势线逐渐变得平缓,说明箍筋的存在削弱了梁抗剪强度的尺寸效应。即使在很大配箍率下,大尺寸梁的名义抗剪强度仍有下降趋势,说明配箍率增大仅能削弱尺寸效应,但并不能使尺寸效应完全消除,这与Bažant等[10]的结论一致。

图10 不同配箍率下悬臂梁名义抗剪强度
Fig.10 Nominal shear strength of cantilever beams with different stirrup ratios

4 抗剪强度尺寸效应律

4.1 抗剪强度尺寸效应公式

钢筋混凝土梁的抗剪承载力V主要由两部分组成:1) 箍筋直接受剪而承担的剪力Vsv;2) 无腹筋混凝土梁承受的剪力Vc。因此,梁的抗剪承载力V为:

其中:

式中:fyv为箍筋抗拉强度设计值;Asv为配置在同一截面内箍筋各肢的全部截面面积;s为沿构件长度方向的箍筋间距;h0为截面有效高度;τc为无腹筋混凝土梁名义抗剪强度;b为梁截面宽度。

钢筋混凝土梁抗剪承载力分配情况如图11所示。其中,素混凝土梁所贡献的承载力Vc(或名义抗剪强度τc)与配箍率、剪跨比及截面尺寸等因素相关,即与尺寸效应有关;而第一部分Vsv为箍筋直接受剪承担的剪力,与尺寸效应无关。

图11 钢筋混凝土梁抗剪承载力分配情况示意
Fig.11 Indication of shear strength distribution of RC beams

根据第2节的结论,这里首先考虑剪跨比的影响。随着剪跨比增大,梁抗剪强度呈现出减小趋势,对此可用剪跨比对抗剪强度的影响系数γ来表征。

由第3节得出的结论,梁内箍筋除直接承受剪力外,同时抑制裂缝开展,改善混凝土梁延性,削弱了抗剪强度尺寸效应。当箍筋对混凝土的约束作用极强(即配箍率极大)时,抗剪强度尺寸效应被极大削弱。这种行为可用配箍率对尺寸效应的削弱系数β来描述。

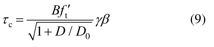
基于以上两点认识,在Bažant材料层次尺寸效应理论公式的基础上,考虑剪跨比及配箍率两种因素对梁抗剪强度及尺寸效应的影响,建立了构件层次上的钢筋混凝土梁抗剪强度尺寸效应理论公式,如下:

式中:参数γ 应为剪跨比的函数;β应为配箍率的函数。因此,这里的τc实际上是考虑了剪跨比、配箍率以及构件尺寸影响下的无腹筋混凝土梁名义抗剪强度。式(9)还反映了构件层次上的钢筋混凝土梁尺寸效应定量规律与混凝土材料层次尺寸效应规律之间的关联性。

4.2 尺寸效应公式相关参数确定

4.2.1 剪跨比影响系数γ 的确定

我国现行《混凝土结构设计规范》(GB 50010―2010)[19]中钢筋混凝土梁斜截面受剪承载力Vcs计算公式如下:

式中:αcv为斜截面混凝土受剪承载力系数,对于一般受弯构件取0.7;对于集中荷载作用下的独立梁,取αcvλ为剪跨比。系数αcv实际上是考虑剪跨比对钢筋混凝土梁抗剪承载力的影响系数。由系数αcv的形式可知,随着剪跨比的增大,抗剪承载力减小,与前文结论一致。

这里的系数γ借鉴规范公式的形式,考虑γ与剪跨比λ的某种函数形式具有反比形式的关系。对模拟结果进行拟合分析,拟合情况如图12,得:

需要说明的是,这里的系数γ仅针对本文中所用混凝土情况,其它情况还需进一步讨论验证。

图12 剪跨比影响系数γ的确定
Fig.12 Determination of the weakening coefficient γ

4.2.2 配箍率对尺寸效应削弱系数β的确定

如前文所述,箍筋可以限制裂缝开展,进而改善混凝土梁剪切破坏时的延性,削弱抗剪强度尺寸效应。下面讨论配箍率对梁抗剪强度尺寸效应的具体影响。

ρsvρsv,min 时(这里ρsv,min为配箍率下限值),箍筋对尺寸效应影响作用很小,此时β=1。

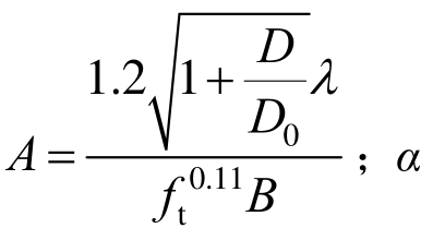
ρsv→∞时,即配箍率很大,此时箍筋对混凝土的约束作用很强,抗剪强度尺寸效应被极大削弱,混凝土梁(构件层次)抗剪强度逐渐趋向于混凝土材料的抗剪强度。这里采用张琦等[22]提出的混凝土抗剪强度与抗拉强度的关系式:

联立式(9)~式(12),得到:

如图13所示,当ρsvρsv,min 时,β成为1条从1开始无限趋向于的非线性变化曲线。这里采用双曲正切曲线来描述β的变化趋势,因此可得削弱系数β的表达式为:

式中:为调节系数,用来表征系数β随配箍率变化的快慢程度。

图13 尺寸效应削弱系数β的确定
Fig.13 Determination of the weakening coefficient β

4.3 尺寸效应公式验证

上述式(9)、式(11)、式(14)需要确定3个参数:BD0和调节系数α。这里采用剪跨比为1.0的无腹筋悬臂梁模型作为基准试件,模拟结果回归分析所得到的B=1.802,D0=616。对于调节系数α,可通过与模拟结果的对比拟合来确定。

我国《混凝土结构设计规范》(GB 50010―2010)[19]规定,钢筋混凝土梁配箍率下限值ρsv,min=0.24ft/f yv ,这里ρsv,min 取为0.23%。结合所选BD0,通过数据对比发现,调节系数α在8~12之间时,理论值与模拟结果吻合较好,这里α取10。

在此基础上,将更多工况下(不同配箍率、不同尺寸)的模拟结果与所提公式的预测值进行对比,如图14。可以发现所建立的半经验-半理论公式的预测结果与细观模拟结果吻合良好,说明了建立的半经验-半理论公式的合理性和准确性。

另外,这里还搜集了相关的试验结果来进行对比,图15即为本文的理论预测值与Jin等[11]及Syroka-Korol等[23]试验数据之间的对比情况。可以看出二者吻合良好,从而进一步验证了所提公式的准确性与合理性。

尽管如此,需要说明的是,相关的试验数据多针对无腹筋或腹筋率较小混凝土梁,因此后续仍需开展大量的试验工作来验证本文半经验-半理论公式的准确性与合理性。

图14 名义抗剪强度理论值与模拟结果对比
Fig.14 Comparisons between the theoretical values and the numerical results

图15 名义抗剪强度理论值与现有试验数据对比
Fig.15 Comparisons between the theoretical values and the test data

5 结论

本文采用三维细观数值模拟方法,建立了钢筋混凝土悬臂梁剪切破坏分析模型,模拟研究了不同剪跨比及不同配箍率下悬臂梁剪切破坏尺寸效应行为,分析了剪跨比和配箍率对梁名义抗剪强度及其尺寸效应的影响机制与规律。进而,在混凝土材料层次经典Bažant尺寸效应律的基础上,提出了可反映剪跨比和配箍率影响的钢筋混凝土梁剪切强度尺寸效应半经验-半理论公式。主要结论如下:

(1) 剪跨比对混凝土梁抗剪强度尺寸效应的影响很小,但对抗剪强度值有较大影响,表现为名义抗剪强度随剪跨比增大而降低。

(2) 梁内箍筋一方面直接承受剪力,增大了梁的抗剪承载力;另一方面通过限制裂缝开展,改善梁的延性,从而削弱了梁抗剪强度尺寸效应,但不能完全抑制抗剪强度尺寸效应行为。

(3) 提出的钢筋混凝土梁抗剪强度尺寸效应律公式反映了构件层次上的钢筋混凝土梁尺寸效应定量规律与混凝土材料层次尺寸效应规律之间的关联性,能很好的描述剪跨比及配箍率对梁抗剪强度尺寸效应行为的影响。

需要说明的是,本文仅讨论剪跨比及配箍率对梁抗剪强度尺寸效应的影响,关于混凝土强度等级、加载方式、箍筋间距及箍筋强度等因素对梁抗剪强度尺寸效应的影响将另文研究。

参考文献:

[1]Kani G N J.How safe are our large reinforced concrete beams [J].ACI Journal, 1967, 64(31): 128―141.

[2]Kim J K, Park Y D.Shear strength of reinforced high-strength concrete beams without web reinforcement[J].Magazine of Concrete Research, 1994, 46(166): 7-16.

[3]Chana P S.Some aspects of modeling the behavior of reinforced concrete under shear loading [R].England:Cement and Concrete Association Technical Report,1981.

[4]Yu L, Che Y, Song Y P.Shear behavior of large reinforced concrete beams without web reinforcement[J].Advances in Structural Engineering, 2013, 16(4):653-665.

[5]Collins M P, Kuchma D A.How safe are our large,lightly reinforced concrete beams, slabs, and footings?[J].ACI Structural Journal, 1999, 96(4): 482-490.

[6]Lubell A, Sherwood T, Bentz E C, et al.Safe shear design of large, wide beams [J].Concrete International,2004, 26(1): 67-78.

[7]Bažant Z P, Yu Q.Designing against size effect on shear strength of reinforced concrete beams without stirrups: I.Formulation [J].Journal of Structural Engineering, 2005,141(12): 1877-1885.

[8]Bažant Z P, Kim J K.Size effect in shear failure of longitudinally reinforced beams [J].ACI Journal Proceedings, 1984, 81(5): 456-468.

[9]Walraven J, Lehwalter N.Size effect in short beams loaded in shear [J].ACI Structural Journal, 1994, 91(5):585-593.

[10]Yu Q, Bažant Z P.Can stirrups suppress size effect on shear strength of RC beams [J].Journal of Structural Engineering, 2011, 137(5): 607-617.

[11]Jin L, Du X L, Li D, et al.Seismic behavior of RC cantilever beams under low cyclic loading and size effect on shear strength: An experimental characterization [J].Engineering Structures, 2016, 122: 93-107.

[12]Bhal N S.Über den einfluss der balkenhöhe auf schubtrafahighkeit von einfeldrigen stalbetonbalken mit und ohne schubbewehrung [M].Germany: Otto-Graf-Institut, 1968.

[13]Bažant Z P.Size effect in blunt fracture: concrete, rock,metal [J].Journal of Engineering Mechanics, 1984,110(4): 518-535.

[14]Carpinteri A, Ferro G.Size effects on tensile fracture properties: A unified explanation based on disorder and fractality of concrete microstructure [J].Materials and Structures, 1994, 27(10): 563-571

[15]Weibull W.A statistical distribution function of wide applicability [J].Journal of applied mechanics, 1951,18(3): 293-297.

[16]Rios R D, Riera J D.Size effects in the analysis of reinforced concrete structures [J].Engineering Structures, 2004, 26(8): 1115-1125.

[17]Du Xiuli, Jin Liu, Ma Guowei.A meso-scale analysis method for the simulation of nonlinear damage and failure behavior of reinforced concrete members [J].International Journal of Damage Mechanics, 2013, 22(6):878-904.

[18]Lee J, Fenves G L.Plastic-damage model for cyclic loading of concrete structures [J].Journal of Engineering Mechanics, 1998, 124(8): 892-900.

[19]GB 50010―2010, 混凝土结构设计规范[S].北京: 中国建筑工业出版社, 2010.GB 50010―2010, Code for design of concrete structures[S].Beijing: China Architecture & Building Press, 2010.(in Chinese)

[20]金浏, 苏晓, 杜修力.基于三维细观数值方法的钢筋混凝土悬臂梁抗剪行为研究 [J].工程力学, 2017,34(12): 59-66.Jin Liu, Su Xiao, Du Xiuli.Study on shear performances of reinforced concrete cantilever beam using 3D meso-scale simulation method [J].Engineering Mechanics, 2017, 34(12): 59-66.(in Chinese)

[21]金浏, 杜敏, 杜修力, 等.箍筋约束混凝土圆柱轴压破坏尺寸效应行为 [J].工程力学, 2018, 35(5): 93-101.Jin Liu, Du Min, Du Xiuli, et al.Size effect on the failure of stirrup-confined reinforced concrete columns under axial compression [J].Engineering Mechanics, 2018,35(5): 93-101.(in Chinese)

[22]张琦, 过镇海.砼抗剪强度和剪切变形的研究 [J].建筑结构学报, 1992, 13(5): 17-24.Zhang Qi, Guo Zhenhai.Investigation on shear strength and shear strain of concrete [J].Journal of Building Structures, 1992, 13(5): 17-24.(in Chinese)

[23]Syroka-Korol E, Tejchman J.Experimental investigations of size effect in reinforced concrete beams failing by shear [J].Engineering Structures, 2014, 58(7):63-78.

SIZE EFFECT THEORY ON SHEAR FAILURE OF RC CANTILEVER BEAMS

JIN Liu , WANG Tao , DU Xiu-li , XIA Hai
(The Key Laboratory of Urban Security and Disaster Engineering, Beijing University of Technology, Beijing 100124, China)

Abstract: Compared with those of concrete materials, the failure modes and mechanisms of reinforced concrete(RC) members are much more complicated.It is therefore hard to describe the size effect behavior of RC members by using the size effect theory of concrete materials.From the mesoscopic view, a three dimensional meso-scale numerical analysis model of RC cantilever beams was established to study the size effect of shear failure of RC cantilever beams.The feasibility of the simulation method was verified by the existing experimental data, and the influences of shear span ratio and stirrup ratio on the size effect of shear failure of RC cantilever beams was investigated.The simulation results indicate that: the shear span ratio has a great influence on the shear capacity of RC cantilever beams, but has little effect on the size effect; the increase of stirrup ratio increases the shear capacity of RC cantilever beams, and weakens the size effect of the shear strength of RC cantilever beams.Furthermore, combined with the influence mechanism of shear span ratio and stirrup ratio on shear strength of RC cantilever beams, a theoretical formula for the size effect of shear strength of RC cantilever beams was established based on the theory of the Size Effect Law (SEL) proposed by Bažant.The accuracy and rationality of the theoretical formula are verified by comparing the simulation results and the test data.

Key words: RC cantilever beam; shear span ratio; stirrups ratio; shear strength; size effect theory

中图分类号:TU375.1

文献标志码:A

doi: 10.6052/j.issn.1000-4750.2018.11.0596

文章编号:1000-4750(2020)01-0053-10

收稿日期:2018-11-07;修改日期:2019-03-14

基金项目:国家重点研发计划项目(2018YFC1504302,2016YFC0701100);国家自然科学基金项目(51822801,51421005)

通讯作者:杜修力(1962―),男,四川人,教授,博士,博导,主要从事结构工程及地震工程领域研究(E-mail: duxiuli@bjut.edu.cn).

作者简介:

金 浏(1985―),男,江苏人,教授,博士,博导,主要从事混凝土与混凝土结构方面研究(E-mail: jinliu@bjut.edu.cn);

王 涛(1994―),男,河北人(蒙族),硕士生,主要从事混凝土构件尺寸效应研究(E-mail: wangtao19940902@163.com);

夏 海(1994―),男,河南人,硕士生,主要从事混凝土构件尺寸效应研究(E-mail: strongerhai@163.com).