张鹏飞,王志恒,席 光
(西安交通大学能源与动力工程学院,西安 710049)
摘 要:为了完善离心力作用下的多层圆筒过盈配合理论以及得到一定约束条件下较优的过盈配合设计方案,该文首先推导了多层旋转圆筒应力和变形分析解析公式以及多层旋转圆筒过盈配合设计公式,然后基于以上理论,以所定义的旋转圆筒最小安全裕度为适应度函数,采用遗传算法优化名义半径使圆筒的最小安全裕度最大化。根据优化并取整后的名义半径,采用有限元软件(ANSYS Workbench)建立磁悬浮轴承转子三维模型模拟了最大过盈条件下装配过程,并且比较了解析方法与有限元的等效应力结果。研究结果表明:所采用的名义尺寸优化方法提高了旋转圆筒的安全系数,增加了转子的安全性;本文模型中的最外层圆筒内壁为最危险环面,此处有限元方法所得最大等效应力比解析方法结果高18.72%,仅采用解析方法预测结果时应适当提高校核安全系数;所给出的解析方法与数值分析方法所得结果总体结果吻合良好,因此所提解析方法可以用于多层旋转圆筒的过盈配合初步设计、分析以及提供理论指导。
关键词:旋转圆筒;过盈配合;应力分析;尺寸优化;有限元法;解析法;磁悬浮轴承
过盈联接又称为紧配合联结,具有结构简单、定心性好、承载能力高、能承受冲击载荷等特点,广泛应用于重型机械、船舶、机车及通用机械等[1]的轴毂连接。当应用于中高速轴时,由于离心力的显著效应,其过盈配合特性相比发生了很大的变化[2]。双层圆柱过盈配合可以参照文献[3]直接进行设计以及校核,它考虑了离心力对过盈配合的影响,但无法直接进行两层以上的圆柱过盈配合的设计和校核。文献[4―5]针对高速电机主轴的双层过盈配合给出了计算方法,而且后者还考虑了温升效应。文献[6]采用复变函数方法给出非均布荷载作用下双层厚壁圆筒光滑接触时的应力解析求解方法。考虑材料第二主应力和脆性软化效应,文献[7]推导得出双层厚壁圆筒在弹脆塑性极限内压的统一解析解。文献[8]给出了进行多层圆柱过盈配合的设计校核方法,该方法忽略了离心力作用,无法用于转速较高的转子的过盈联接。文献[9]研究了多层圆筒接触压力和过盈量的解析计算方法并与有限元方法结果进行了对比,并在后续研究中进行了实验验证[10]。但是,它仅仅针对3层圆筒的过盈量的计算公式,不能直接应用于更多层配合情况,而且也未考虑离心力的影响。一般认为有限元方法比解析方法所得解更加精确[11],采用有限元方法可以考虑过盈配合会出现的端部应力集中的边缘效应[12],微动磨损效应等[13-14]问题,同时可以考虑温度[15]、摩擦系数[16-17]、轴向载荷等[17]因素影响,并可分析疲劳裂纹的增长[18]。但是,有限元方法需要更多的计算时间和存储空间,一般用于设计后的分析和校核。针对功能梯度转子的过盈配合可靠性和减轻转子重量目标,文献[19]进行了弹塑性过盈配合优化设计。文献[20]针对转子体积减小和胡克应力均匀分布,优化了三层旋转过盈配合圆筒的厚度,并且采用有限元方法验证了解析分析结果的可靠性。
针对高速转子,本文推导了多层圆筒下离心力作用下的应力及变形分析解析方法,基于该方法结合遗传算法,对某三层高速转子的名义径向尺寸进行了优化,并且将解析得到等效应力结果与有限元方法进行了比较,验证了该方法的有效性。
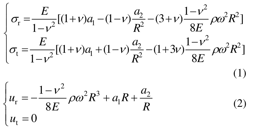
对于旋转轴对称等厚圆盘,关于半径R有如下应力公式及位移公式(不计热应力影响)[3]:

式中:rσ、tσ、ur、ut分别为旋转等厚圆筒在半径R处的径向应力、切向应力、径向位移及周向位移;E、ν、ρ分别为圆筒材料的弹性模量、泊松比以及质量密度;ω为旋转圆筒材料的角速度。
如图1所示,按照惯例,假定挤压应力为负,已知静止圆筒的内壁半径、外壁半径分别为Ri、Ro,内、外壁面径向挤压应力分别为σri、σro(图1所示的内、外壁处的径向应力状态为负),给定圆筒边界条件:
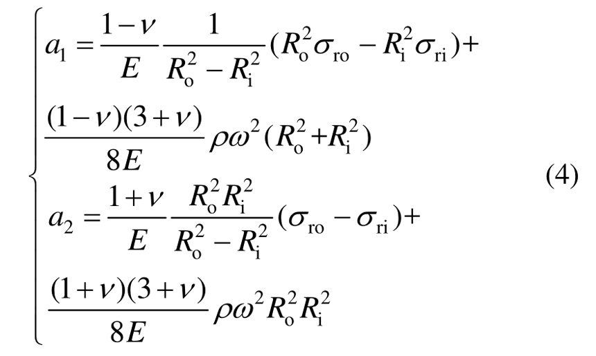
将式(3)代入式(1)可联立解得常数a1、a2:

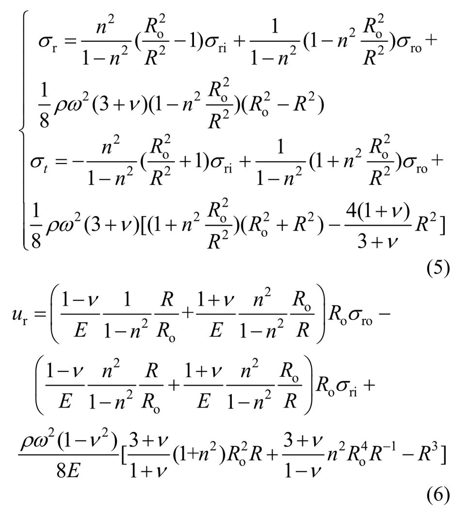
将所得a1、a2代回式(1)、式(2),可得旋转等厚圆筒的任意半径处应力及径向位移表达式:

式中,搪孔度![]()

图1 单层旋转圆筒模型示意图
Fig.1 Sketch map of the single-layer rotating cylinder
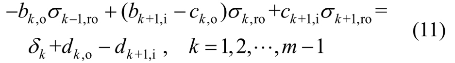
多层旋转圆筒一般要求相邻圆筒壁面不分离且无周向滑移,所以壁面间的要求旋转过程中状态始终为过盈配合状态,且相邻的壁面的径向应力相等。假设有m层过盈配合旋转圆筒,如图2所示,第k层圆筒的内、外壁半径为Rk-1及Rk(k=1 ,2,… ,m),其材料的弹性模量、泊松比和质量密度为(Ek,vk,ρk);m层旋转圆筒的旋转角速度为ω,产生的第k层旋转圆筒的内、外壁位移量为uk,ri及uk,ro,内、外壁径向应力为σk,ri及σk,ro,内、外壁切向应力为σk,ti及σk,to;第k层圆筒外壁与第k+1层圆筒内壁的单边过盈量为δk。
由第k+1层圆筒内壁的位移量与第k层圆筒外壁的位移量的变形协调关系可知:
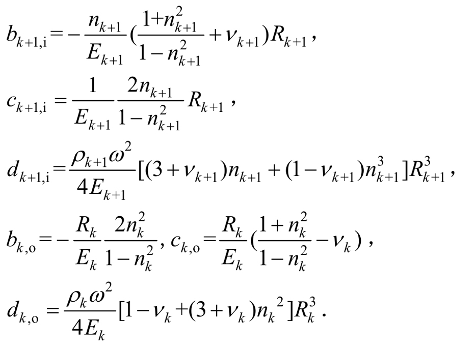
由式(6)可知:
式中:


图2m层旋转圆筒模型示意图
Fig.2 Sketch map of them-layer rotating cylinders
由圆筒不分离假设可知:
将式(8)~式(10)代入式(7),整理可得:
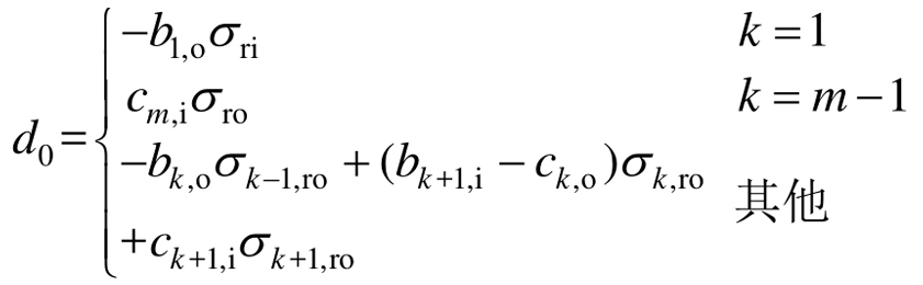
注意σ0,ro≡σri,σm,ro≡σro,σri、σro为已知边界条件。式(11)可整理成线性方程组,从而可以求得式中所有的未知量σk,ro,k=1 ,2,… ,m- 1 。若σk,ro已知,根据式(5)、式(6)并结合式(11)可得m层圆筒的应力分布及径向位移分布。
若要求过盈配合旋转不产生松动,则要求相邻配合面的径向应力均小于等于零(挤压应力),理想条件是所有配合面在某一转动角速度ωs下同时松动脱离,即σk+1,ri=σk,ro=0 ,k=1 ,2,… ,m-1,由式(11)可得关于松动转速ωs下的单边过盈值δk为:
式中:

实际上,如果转子系统存在转矩的作用,较小的过盈量下,存在摩擦力不足,可能会导致转子和圆筒的相对滑动,这样也会导致失效。首先,确定各层圆筒所需的最小静摩擦力矩Tk;然后,结合过盈配合面的接触面积Ak、两种材料配合的静摩擦系数μk以及配合圆柱面半径Rk,可以据此估计相邻过盈配合面所需的最小径向应力为:σk+1,ri=σk,ro=-Tk/(RkμkAk),k=1 ,2,… ,m-1。其中,负号表示径向应力为挤压应力。由已知的各层圆筒配合面所需径向应力,只需要将式(12)中的d0进行如下改变:

本文转子转矩主要由转子加速度产生,但转子质量较小,转矩很小,直接由松动系数考虑该因素的影响,即σk+1,ri=σk,ro=0 ,k=1 ,2,… ,m-1。
假设旋转圆筒的最大工作角速度为ωn,为保证最大工作转速下不松脱,一般取松动系数Ks=ωs/ωn为1.02~1.15。
实际配合选取的最小单边过盈量δk,min应满足:
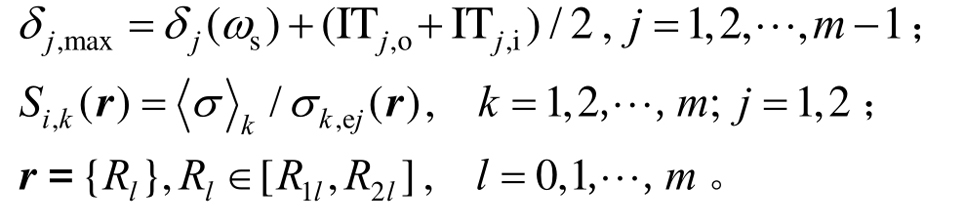
考虑加工经济性,实际圆筒的内、外壁尺寸公差范围内,根据标准手册,可以选择合适的公差,假设Rk处选择的轴与孔公差为ITk,i及ITk,o,则第k层圆筒外壁最大单边过盈量δk,max满足:
式中,k=1 ,2,… ,m-1。
将式(14)代入式(11),结合式(10)、式(5)可以得到最大单边过盈量δk,max下任意转速下的径向应力分布σk,r与切向应力分布σk,t。
强度校核主要按以下两方面进行:1)校核旋转圆筒在最大过盈量时,在最大工作转速条件下的最大等效应力(von Mises等效应力);2)校核最大过盈量下静止时的装配应力。对于弹性材料,前者按第四强度理论计算其等效应力:
后者按第三强度理论计算其等效应力:
式中,k=1 ,2,… ,m-1。
要使旋转圆筒安全,以上所得最大等效应力应不大于材料的许用应力![]()
若实际最大等效应力无法保证材料安全或希望材料的安全程度进一步提高,在公差要求不变的情况下,则要求调整部分圆筒的材料或尺寸以满足强度要求或提高安全裕度。本文假定所有圆筒材料选定,优化目标为:在一定的已知条件和约束条件下,通过优化配合尺寸,使得旋转圆筒更加安全。以下分别为优化问题的优化目标、已知条件和约束条件。
2.3.1 优化目标
如图2所示的m层装配的旋转圆筒,优化其尺寸参数Rk,k=1,2,… ,m-1使得最大工作转速ωn下的综合安全裕度S最大。第k层安全裕度定义为Sj,k=
/σk,ej,j=1 ,2,其中,S1,k为最大工作转速下的安全裕度,称之为动安全裕度;S2,k为静止条件下的安全裕度,称之为静安全裕度;优化目标可选为使得最小的安全裕度最大化,即:
等价于
2.3.2 已知条件
1)第 1层圆筒在内壁处的半径R0及径向应力σri,第m层圆筒在外壁处的半径Rm及径向应力σro 。
2)第k层旋转圆筒材料参数为(Ek,vk,ρk),许用应力为![]()
3)所有圆筒最大工作角速度为nω,松动系数为Ks。
4)第k层圆筒的外壁半径Rk的轴与孔的公差为c及ITk,o。
2.3.3 约束条件
1)在最大工作转速下,所有旋转圆筒不松脱,即:
2)在最大工作转速nω和静止条件下,所有旋转圆筒在最大过盈量时的最大等效应力小于等于许用应力,即:
3)所有圆筒壁厚εk=Rk-Rk-1满足:
综合以上各式,可以将优化问题描述如下:
并使得优化参数满足以下约束条件:
式中:

采用合适的优化方法可以得到式(21)的最优解。本文采用遗传算法求解。
下面以一个磁悬浮轴承转子为例,进行一个 3层圆筒转子过盈配合名义半径优化,并对优化后的圆筒进行应力分析,并且把所得结果与有限元方法结果对比。
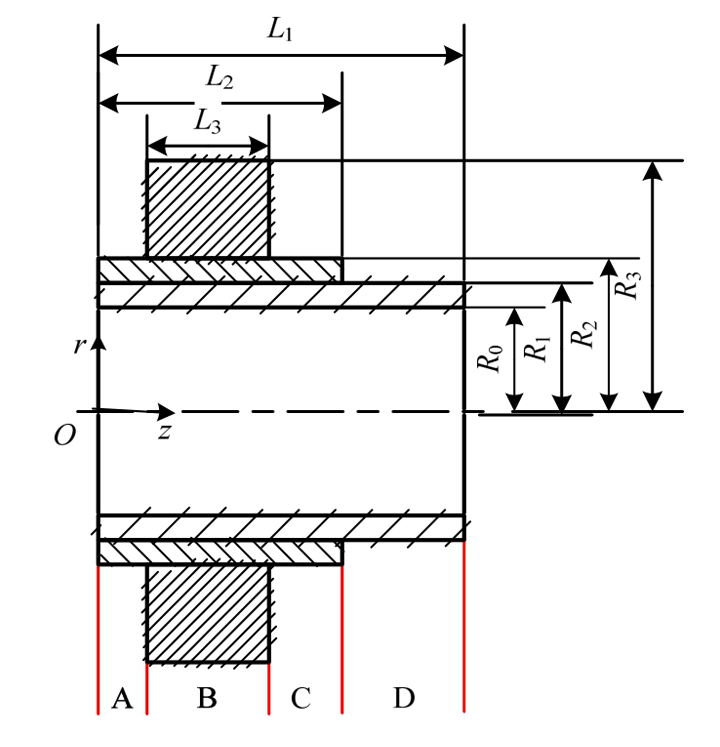
某高速磁悬浮电动机的磁悬浮轴承的转子部分由3层圆筒装配组成,简化模型如图3所示。最外层是由无取向硅钢片叠制而成的磁轴承转子铁芯,最内层为沉淀硬化型不锈钢 S51525制成的主轴(部分),中间层为衬套,选用钛合金TC6材料,3种材料的材料参数和力学性能如表1所示。根据磁悬浮轴承的设计要求,对于转子部分的径向尺寸要求如表2所示,模型轴向长度如表3所示。主轴内壁与定子铁心外壁受外部气压载荷忽略不计,即最内层圆筒的最内侧壁面及最外层圆筒的最外侧壁面的径向应力σri=σro=0 ,以此作为式(11)中应力分析的边界条件;转子转速为50000 r/min。如图3把转子从左至右沿轴向分成A、B、C、D四个区,它们对应的圆筒个数分别为2、3、2、1。根据工程经验,3层转子过盈配合的B区最危险,按B区进行尺寸优化,后面会验证该假设。由表2可以得出径向名义尺寸满足以下不等式:
式中:


图3 转子剖面图及尺寸定义
Fig.3 Rotor profile and dimension definitions
表1 各层圆筒材料参数
Table 1 Material parameters of each cylinder

注:许用应力为安全系数选为2的计算值。
表2 各层圆筒的径向尺寸及其厚度范围约束
Table 2 Radial dimensions and thickness range constraints for each layer of cylinders

表3 各层圆筒的轴向尺寸
Table 3 Axial dimension of each cylinder

实际安装各个圆筒时,选择先进行孔的加工,然后再配制加工轴,公差等级皆为 IT5。因此,式(14)中的 ( ITk,i+ I Tk,o)=IT5。
根据2.3节的过盈配合尺寸优化方法及3.1节的模型参数对各个圆筒壁面进行了优化,适应度函数的优化进程如图4所示(本文适应度值越小,表明个体越适应,主要参数设置为:种群数 200、交叉概率 0.8、保护率 0.05、变异率自适应满足线性约束),遗传算法的最优适应度在种群进化代数大于30后趋于不变。表4所示为各层经优化圆筒的安全裕度以及表5所示为优化后的名义半径。从表4可以看出:最外层圆筒(圆筒3)的动安全裕度最小,它的值为1.1076,基本满足安全系数为2的配合条件;最内层圆筒(圆筒 1)的静安全裕度最小,它的值为1.3179,但它仍小于最外层圆筒的动安全裕度,所以在最大转速条件下的最外层圆筒最危险,其次是静止条件下的最内层圆筒,而且研究表明本文最外层圆筒的内表面等效应力最大。
从理论来说,在最外层圆筒的外径不变的条件下,最外层圆筒应该满足最小壁厚条件,这样圆筒内壁处的等效应力最小。从这个角度说,最优的名义半径应该为r=[16,18,20]T,但是优化的半径约为r=[13,15,17]T,这是因为公差等级 IT5在半径超过15 mm时突然增大。这表明,在一定范围内,公差值的增加比壁厚的增大所引起安全裕度的减小要更加明显,优化结果则是这两种效果的最优组合。
表6为取整前后的名义半径下的各个圆筒间的最小单边过盈量和单边最大双边过盈量,据此可以确定圆筒壁的名义尺寸和极限偏差,为保证不松脱,最小过盈量可适当向上取整,这里可选择的配制配合尺寸分别为孔
(先加工件为孔)以及孔
轴
(先加工件为孔),此时的最大双边过盈量对应为16 μm和28 μm。所选名义尺寸和最大过盈量下的后的最外层圆筒动安全裕度为 1.086,最内层圆筒静安全裕度为1.2531,虽然安全裕度有所下降,但仍能保证安全系数大于2的设计要求(安全裕度大于1)。

图4 适应度函数的优化进程
Fig.4 Optimization process of the fitness function
表4 各层圆筒安全裕度的优化结果
Table 4 Optimization results for safety margin of each cylindrical layer

表5 各个圆环面名义半径优化结果
Table 5 Optimization results for nominal radius of each torus
表6 各层圆筒间双边过盈量的极值
Table 6 Extreme values of the bilateral interferences between each cylindrical layer

根据本文优化设计所得转子尺寸并取整得到合适的过盈配合后,可以根据式(5)、式(6)、式(10)、式(15)、式(16)得到等效应力分布和径向变形量的理论值。这里仅分析最大过盈量下的应力情况,转速为50000 r/min,因为此时转子最危险。采用有限元分析软件 ANSYS Workbench建立三维模型,由“Fractional”接触模型来模拟接触面,两对接触面的摩擦系数都设为0.15。考虑到结构为轴对称结构,可以采用循环对称分析过盈配合,三维实体整周模型和计算模型(1/16圆筒)分别如图5(a)和图5(b)所示。对图5(b)所示计算模型分别采用三种不同疏密结构化网格进行划分,分别命名为网格 a、网格 b和网格 c,以上网格系统的周向、径向以及轴向方向上划分的单元数都依次成倍增加,具体各方向网格划分数量如表7所示,它们的有限元网格系统如图6所示。采用大变形有限元方法,设置过盈配合结合面的过盈量分别为 8 μm 和 14 μm,同时定义约束条件如下:在圆柱坐标系下,圆筒的右端面的轴向广义位移约束设置为 0;最外层圆筒圆环面的周向广义位移和轴向广义位移约束为 0;转子的转速为50000 r/min。注意,最外层圆筒外壁面与最内层圆筒内壁面的径向应力等于 0,此为有限元模型的默认边界条件,不作特别设置。

图5 旋转圆筒的整周几何模型和计算模型
Fig.5 Whole geometry model and computational model of the rotating shrink-fitted cylinders
表7 三种不同网格密度的各层圆筒的网格系统
Table 7 Three grid systems with different density grid densities for each cylindrical layer



图6 三种不同网格密度的有限元网格系统
Fig.6 Three finite element grid systems with different mesh densities
采用以上3种网格系统所得的最大von Mises等效应力如表8所示,网格a、b条件下的结果与网格c条件下的相对误差的绝对值分别为0.53%、0.23%,所以三种网格条件下最大 von Mises等效应力变化很小。下文选取最密的网格(网格c)下的结果进行分析。图7所示为网格c条件下的von Mises等效应力结果。从图7(a)可以看出最大等效应力出现在最外层圆筒的内壁面处,该结论与解析法所得结果相符;从图7(b)看出在轴向方向上最内层圆筒和中间层圆筒等效应力分布很不均匀:在中间层圆筒中部对应最外层圆筒的中部位置出现低等效应力区,在最内层圆筒对应中间层圆筒低应力两侧也出现了低应力区。另外,在最外层圆筒内壁面左右端部都出现了应力集中现象,此处转子为最危险位置。
表8 不同网格数量下的圆筒最大von Mises等效应力
Table 8 Maximum von Mises equivalent stress in cylindrical layers with different grid numbers


图7 旋转圆筒的von Mises应力云图
Fig.7 von Mises stress nephogram of the rotating shrink-fitted cylinders


图8 各个环面沿轴向的等效应力(von Mises 应力)分布
Fig.8 Equivalent stress (von Mises stress)distribution along the axial direction of each torus
有限元方法和解析法所得的各个环面的 von Mises等效应力沿轴向分布如图8所示。可以看出,由于应力边界效应的存在以及在解析解中二向应力假设,采用解析法和有限元法所得的等效应力结果存在一定的偏差,各个区域位置的数值解等效应力与相应区域的解析解的最大相对偏差如表 9所示。图8(a)与图8(d)中数值解与解析解趋势符合地较好,在z=5 mm、15 mm、20 mm附近的应力变化剧烈,这是由于在这些位置存在应力边界,但在数值解中的应力仍然可以认为是连续分布的。在第 1层圆筒内壁的B区的等效应力预测得较好,但是第1层圆筒外壁则是解析值预测过高,这主要是由于实际z向应力不为0,而解析解采用二向应力假设,即z向应力为0。图9为第1层圆筒外壁采用解析方法与有限元方法所得的径向、周向与轴向应力在z轴方向上的分布。由图9可知,除了上文所述的边界效应,两种方法所得的径向应力和周向应力能较好地吻合,从而验证了第1层圆筒外壁B区等效应力偏差较大的原因。图8(b)和图8(e)中显示第 2层圆筒内壁和外壁的等效应力基本呈对称分布,这是由于在轴向方向上,第3层圆筒基本处于第2层圆筒的中部。应力分布仍然有明显的边界效应,但是解析方法很好地预测了应力范围,仅在B区有少量偏差。如图8(c)与图8(f)所示,解析方法所得等效应力都低于有限元方法的预测值,尤其在第3层圆筒内壁的两端出现等效应力明显升高,而且此处的等效应力为所有位置的最高值,这是由于解析方法的二向应力假设无法考虑端部的应力集中效应,相应的数值解比解析解高出18.72%,这表明采用解析预测方法可能对转子的实际等效应力估计不足,若按照解析方法估计,需要在原有的基础上安全系数提高1.2倍以上。这样,按照有限元方法的预测值,转子最外层圆筒的实际安全裕度为0.915,实际安全系数为1.83。在要求不高且估算等效应力较为准确的情况下,可以基本接受该安全系数。否则,需要重新设计结构(改变已知条件或约束条件)或者外层选用强度更高的材料,设计分析方法类似,这里不再展开。
表9 各圆筒环面等效应力数值解与解析解的最大相对偏差
Table 9 Maximum relative deviations between numerical solutions and analytical solutions of cylinder rings


图9 第1层圆筒外壁面主应力轴向分布
Fig.9 Axial distribution of principal stresses on the outer wall of the first cylindrical layer
本文对多层高速旋转圆筒在考虑离心应力情况下的解析应力计算方法以及转子的径向尺寸优化方法进行了研究,并且把解析法与有限元方法所得等效应力结果进行了对比,得到以下结论:
(1)通过两层旋转圆筒的过盈配合方法,建立了适用于3层及3层以上旋转圆筒过盈配合应力及应变分析模型。
(2)根据提出的多层旋转圆筒解析应力计算与遗传优化算法相结合的方法,通过优化过盈配合的名义半径尺寸,实现了各层圆筒最小安全裕度最大化的优化目标,提高了转子的安全性。
(3)本文模型中的最外层圆筒内壁为最危险环面,与有限元方法比较,解析方法对最大等效应力估计不足,相应的数值解比解析解高出18.72%,仅采用解析方法预测结果时需要适当提高安全系数;所推导的解析方法总体上能较好地预测多层旋转圆筒等效应力,可以作为初步的分析结果,并且提供理论依据。
本文对比了解析方法和数值方法下所得的 von Mises等效应力结果,后续通过实验可以进一步验证以上两种方法的准确程度。本文解析计算模型是基于二向应力状态假设推导得出,实际上存在轴向应力,即三向应力状态,后续研究可以进一步考虑多层圆筒过盈配合对轴向应力的影响、改进过盈配合的边缘效应引起的应力集中问题。
参考文献:
[1]机械设计手册编委会. 机械设计手册[M]. 第3 版. 北京: 机械工业出版社, 2004(2): 5―276.Editorial Board of Machine Design Handbook. Machine design handbook [M]. 3th ed. Beijing: China Machine Press, 2004(2): 5―276. (in Chinese)
[2]张松, 艾兴, 刘战强. 基于有限元的高速旋转主轴过盈配合研究[J]. 机械科学与技术, 2004, 23(1): 15―17.Zhang Song, Ai Xing, Liu Zhanqiang. FEM-based studyon interference fits in high-speed rotatory spindles [J].Mechanical Science and Technology, 2004, 23(1): 15―17. (in Chinese)
[3]刘士学, 方先清. 透平压缩机强度与振动[M]. 北京:机械工业出版社, 1997: 2―9.Liu Shixue, Fang Xianqing. Strength and vibration of turbo-compressor [M]. Beijing: Chinese Machine Press,1997: 2―9. (in Chinese)
[4]马平, 张伯霖. 高速机床电主轴过盈配合量的计算[J].组合机床与自动化加工技术, 1999, 10(7): 22―27.Ma Ping, Zhang Bolin. Calculation of the interference fit for the electro-spindle of high speed machine tool [J].Journal of Modular Machine Tool & Automatic Manufacturing Technique, 1999, 10(7): 22―27. (in Chinese)
[5]张峻晖, 黄红武, 熊万里. 高速电主轴轴承配合过盈量的计算方法研究[J]. 机械与电子, 2004(7): 7―10.Zhang Junhui, Huang Hongwu, Xiong Wanli. Calculation method research of the interference fit for high speed motorized spindle bearings [J]. Journal of Machinery &Electronics, 2004(7): 7―10. (in Chinese)
[6]高永涛, 吴庆良, 吕爱钟. 一类非均布荷载作用下双层厚壁圆筒光滑接触时的应力解析解[J]. 工程力学,2013, 30(10): 93―99.Gao Yongtao, Wu Qingliang, Lü Aizhong. Stress analytic solution of a double-layered thick-walled cylinder with smooth contact interface subjected to a type of non-uniform distributed pressures [J]. Engineering Mechanics, 2013, 30(10): 93―99. (in Chinese)
[7]朱倩, 赵均海, 张常光, 等. 双层组合厚壁圆筒弹脆塑性极限内压统一解[J]. 工程力学, 2015, 32(9): 68―75.Zhu Qian, Zhao Junhai, Zhang Changguang, et al.Elastic-brittle-plastic unified solutions of limit internal pressure for double-layered combined thick-walled cylinder [J]. Engineering Mechanics, 2015, 32(9): 68―75. (in Chinese)
[8]张谦. 多层过盈配合连接的矩阵算法[J]. 辽宁大学学报(自然科学版), 1998(1): 65―69.Zhang Qian. Metrix equation in multi-element interference fit analysis [J]. Journal of Liaoning University, 1988, 25(1): 65―69. (in Chinese)
[9]王建梅, 陶德峰, 黄庆学, 等. 多层圆筒过盈配合的接触压力与过盈量算法研究[J]. 工程力学, 2013, 30(9):270―275.Wang Jianmei, Tao Defeng, Huang Qingxue, et al.Algorithm research on contact pressure and magnitude of interference for multi-layper cylinder’s interference fit[J]. Journal of Engineering Mechanics, 2013, 30(9):270―275. (in Chinese)
[10]陶德峰. 多层圆筒过盈连接设计方法及试验研究[D].太原: 太原科技大学, 2013: 28―66.Tao Defeng. Algorithm research on contact pressure and interference magnitude algorithm of multi-layer cylinder’s interference fit [D]. Taiyuan: Taiyuan University of Science and Technology, 2013: 28―66. (in Chinese)
[11]何章涛, 杜静, 何玉林, 等. MW级风力发电机组主轴胀套连接的结构强度分析[J]. 机械设计, 2011, 28(5):69―74.He Zhangtao, Du Jing, He Yulin, et al. Strength analysis of taper-lock connection in MW graded wind turbine spindle [J]. Journal of Machine Design, 2011, 28(5):69―74. (in Chinese)
[12]魏延刚. 轴毂过盈联接的应力分析和接触边缘效应[J].机械设计, 2004, 21(1): 36―39.Wei Yangang. Research on stress analysis and contacting edge effect for interference fit joint of hub [J]. Journal of Machine Design, 2004, 21(1): 36―39. (in Chinese)
[13]张远彬. 过盈配合结构的微动磨损的定量仿真研究[D]. 成都: 西南交通大学, 2014: 39―59.Zhang Yuanbin. Numerical simulation of Fretting wear in press-fitted shaft [D]. Chengdu: Southwest Jiaotong University, 2014: 39―59. (in Chinese)
[14]Lanoue F, Vadean A, Sanschagrin B. Finite element analysis and contact modelling considerations of interference fits for fretting fatigue strength calculations[J]. Simulation Modelling Practice and Theory, 2009,17(10): 1587―1602.
[15]吴海淼, 刘宏民, 于丙强, 等. 温度对整辊内嵌式板形检测辊过盈配合的影响[J]. 钢铁, 2016, 51(8): 55―59.Wu Haimiao, Liu Hongmin, Yu Bingqiang, et al.Influence of temperature on interference fit of entire roller embedded shape meter roll [J]. Iron & Steel, 2016,51(8): 55―59. (in Chinese)
[16]张洪武, 廖爱华, 吴昌华. 压气机过盈配合的弹塑性有摩擦接触的研究[J]. 工程力学, 2007, 24(1): 186―192.Zhang Hongwu, Liao Aihua, Wu Changhua. Study on elastoplastic frictional contact problem in interference fits of compressors [J]. Engineering Mechanics, 2007,24(1): 186―192. (in Chinese)
[17]Paredes M, Nefissi N, Sartor M. Study of an interference fit fastener assembly by finite element modelling,analysis and experiment [J]. International Journal on Interactive Design and Manufacturing, 2012, 6(3): 171―177.
[18]Madia M, Beretta S, Zerbst U. An investigation on the influence of rotary bending and press fitting on stress intensity factors and fatigue crack growth in railway axles [J]. Engineering Fracture Mechanics, 2008, 75(8):1906―1920.
[19]Apatay T, Arslan E, Mack W. Elastic-plastic design of a rotating shrink fit with functionally graded hub [J].Archive of Applied Mechanics, 2017, 87(11): 1―15.
[20]Miraje A A, Patil S A. Optimum thickness of three-layer shrink fitted compound cylinder for uniform stress distribution [J]. International Journal of Advances in Engineering & Technology, 2012, 3(2): 591―605.
STUDY ON STRESS ANALYSIS METHOD AND RADIAL SIZE OPTIMIZATION DESIGN METHOD FOR MULTI-LAYER HIGH SPEED ROTATING SHRINK-FITTED CYLINDERS
ZHANG Peng-fei , WANG Zhi-heng , XI Guang
(School of Energy and Power Engineering, Xi’an Jiaotong University, Xi’an 710049, China)
Abstract:To improve the interference fit theory of multilayer cylinders under the centrifugal force and to obtain a better fit design scheme with the specified constraint conditions, the analytical formulas for stress analysis,deformation analysis and interference fit design were derived for a rotor with multi-layer rotating cylinders. Then,based on the above theory, with the minimum safety margin as a fitness function, the genetic algorithm was applied to optimize the nominal radii of the cylinders to maximize the minimum safety margin. According to the optimized and rounded nominal size, the finite element software (ANSYS Workbench)was used to establish a 3D model for the rotor of magnetic bearing to simulate the interference assembly process under the maximum interference, and the equivalent stress results by the finite element method and the analytical method were compared. The results show that the safety coefficient of rotating cylinders is increased by the proposed optimization method, which improves the security of the rotor. Also, the inner wall of the biggest cylinder in the model is the most dangerous torus, where the maximum equivalent stress by the finite element method is 18.72%higher than that by the analytical method, and the safety coefficient should be increased appropriately if only the analytical method is used for the equivalent stress prediction. Additionally, the analytic results are generally in a good agreement with the numerical results, therefore, the proposed analytical method can be used for the preliminary design or for the analysis on the interference fit of multilayer rotating cylinders so as to provide a theoretical guidance.
Key words:rotating cylinder; interference fit; stress analysis; size optimization; finite element method;analytical method; magnetic bearing
王志恒(1979―),男,安徽人,副教授,博士,主要从事叶轮机械气动热力学研究(E-mail: wangzhiheng@mail.xjtu.edu.cn).
张鹏飞(1989―),男,江苏人,博士生,主要从事磁悬浮轴承-转子系统研究(E-mail: zhangpengfeicn89@stu.xjtu.edu.cn);
作者简介:
通讯作者:席 光(1963―),男,江苏人,教授,博士,博导,主要从事叶轮机械气动热力学研究(E-mail: xiguang@mail.xjtu.edu.cn).
基金项目:国家重点研发计划项目(2016YFB0200901)
收稿日期:2017-06-13;修改日期:2017-12-04
文章编号:1000-4750(2018)10-0212-10
doi:10.6052/j.issn.1000-4750.2017.06.0464
文献标志码:A
中图分类号:TH131.7; TH133.3