波浪冲击下充气式浮桥流固耦合数值模拟分析

楼云锋 1 ,刘 涛 2 ,王欢欢 1 ,付宝强 3 ,金先龙 1

(1.上海交通大学机械与动力工程学院,上海 200240;2.上海宇航系统工程研究所,上海 201108;3.凯迪西北橡胶有限公司,咸阳 712023)

摘 要: 采用多物质ALE (Arbitrary Lagrangian-Eulerian)方法对充气式浮桥进行多工况数值模拟分析,流体区域采用ALE描述,浮桥结构采用Lagrangian描述,并通过罚函数方法实现两者间的耦合作用。首先建立三维充气式浮桥-流体耦合动力学模型,并通过与波浪理论公式和物理模型试验数据对比,验证本文采用的数值造波和流固耦合建模方法的可行性;随后展开初始工况、移动载荷工况、波浪冲击工况下浮桥结构响应的计算和分析。结果表明:随着载重增加,囊体垂向位移和应力随着增加;相比于陆上工况,海上浮囊平衡时垂向位移增加,应力明显减小;波浪冲击中最大铰链接触力和最大囊体应力出现在浮桥两端,最大铰链弯矩出现在中段;随着波高的增加,囊体应力增大。

关键词: 充气式浮桥;流固耦合;波浪冲击;动力学模型;结构响应

根据以往的研究成果,学者采用多刚体模型 [1] 和梁单元模型 [2] 对浮桥响应特性、移动载荷下动力响应 [3] 以及水弹性特性 [4] 等进行分析。新型船用囊式浮桥为美国海军于2008年率先研制的新型浮桥,该新型浮桥采用空气填充作为浮体的方式 [5―6] 。由于其自重大大降低,波浪冲击时会发生较大的位移,因而研究其在波浪载荷作用下的动力响应具有重要的现实意义。

针对浮桥在波浪作用下的动态响应等问题,国内外学者开展了许多相关的研究工作。Seif和Inoue [7] 基于三维分布源法,计算了不同波高、周期及入射角度的波浪作用下浮桥的动力响应问题。Ikegami等 [8] 在考虑浮桥弹性变形的基础上,将波浪的作用,直接转化为恒定的波浪力施加在浮桥结构上,然后分析了波浪周期、水深等因素对浮桥位移、加速度及变形的影响。Giannin等 [9] 展开双轴车辆荷载作用下的浮式浮桥动力特性的分析和试验研究。Rahman [10] 采用有限元法通过ABAQUS软件建立浮桥模型,并分析了浮桥受到简谐规则波荷载作用下的动态响应。在国内,王琮等 [11] 在三维水弹理论的基础上,采用模态叠加法对带式舟桥进行了水弹性分析,波浪的作用简化为均匀作用在浮桥表面上的激励力,浮桥的单舟均采用三维有限元进行了模拟,并通过线性单元进行连接。张国文等 [12] 把整个浮桥系统作为研究对象,建立了分置式动力固定浮桥质心动力学模型,对浮桥空载和负载时的运动进行了分析,将水阻力以集中力的形式分解至浮桥模型,对浮桥运动特性进行数学仿真。

可见,在处理流体外部载荷问题时,一般将流体载荷简化为作用在浮桥表面上的激励力,另外,未考虑流体与浮桥结构的耦合作用,对于存在结构大变形的充气式浮囊结构耦合力是不容忽视的 [3] 。在流固耦合研究方面,楼云锋等 [13―14] 、曹源等 [15] 采用 ALE罚函数耦合法对弹性防浪堤受波浪冲击问题、输水隧道水锤冲击问题、水囊跌落问题等进行了分析,并取得了较好的耦合效果。

本文使用Ls-dyna显示动力学软件,利用上海超级计算中心“蜂鸟”计算平台,采用多物质ALE方法建立三维囊内流场-浮桥-囊外流场耦合模型,首先经过物理模型试验验证数值耦合模型及方法的可靠性,然后通过有限元数值模拟分析囊式浮桥初始无载荷工况、卡车移动载荷工况以及在波浪载荷作用下的动态响应问题。基于超算平台的多物质ALE罚函数流固耦合方法为解决充气式浮桥流固耦合动力学问题中强非线性和海量计算问题提供解决方案;所述建模理论、计算方法和数值模拟结果可为国内军用和民用领域充气囊式浮桥设计提供理论依据和技术支持。

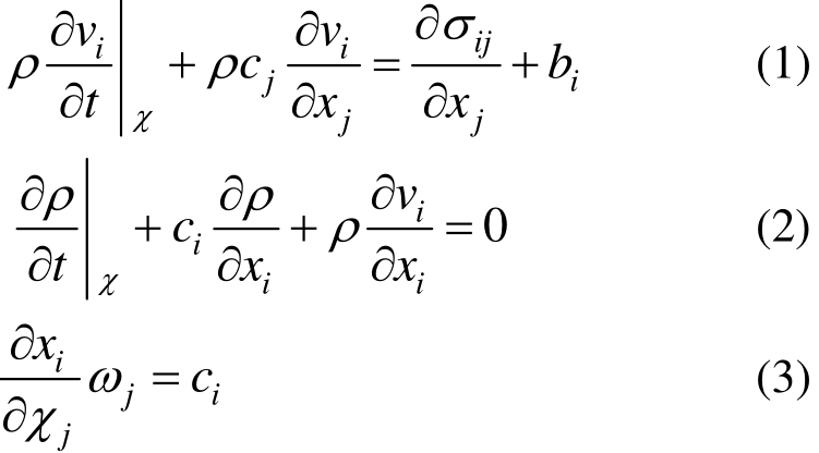
1 数值原理

1.1 ALE描述下流体控制方程

本文采用显式中心差分法离散的多物质ALE [16―17] 法描述囊体与流体,其流体和结构计算控制方程如下:

式中:χ为参考坐标;v i 为流体流动速度;x i 和 x j 为空间坐标;c i 和c j 均为对流速度;ρ为流体密度;b i 为流体体力;σ ij 为应力张量。

为适应显式格式进行求解,流体采用弱可压缩的流体,引入线性牛顿流体本构方程:

式中:p为流体的静水压力;μ = μ (s ij )为动力粘性系数,牛顿模型中为常数;s ij 为应变率张量;δ ij 为克罗内克常数。弱可压缩的流体进行求解需要材料模型与状态方程配合使用。

1.2 多物质ALE单元

在多物质ALE描述中,采用VOF (volume of fluid)法区分两种物质以跟踪自由液面,如图 1所示。

图1 多物质ALE单元
Fig.1 Multi-material ALE elements

在 VOF法中通过以下单元体积函数描述出自由液面:

即当单元体积函数在0和1之间可确定分界面在单元中的位置。体积函数的控制方程可统一为以下形式:

1.3 罚函数流固耦合方法

模型中囊体与流体的耦合作用通过罚函数法实现,作用方式如图2所示。

图2 流-固耦合算法示意图
Fig.2 Fluid-structure coupling algorithm

流固耦合在流体和结构界面上满足几何相容条件和力的平衡条件,即:

式中:v i 和v s 分别为流固耦合界面上水的流动速度和固体材料速度;F f 和F s 分别为流体和固体结构作用在流固耦合界面上的力,这些力可由罚函数方法计算获得:

式中:Z为穿透量; ξ为阻尼系数;ω= ,k为与材料有关的耦合刚度。当ξ ≤2ω 时,振荡趋于收敛,因此可用于消除计算中的振荡。

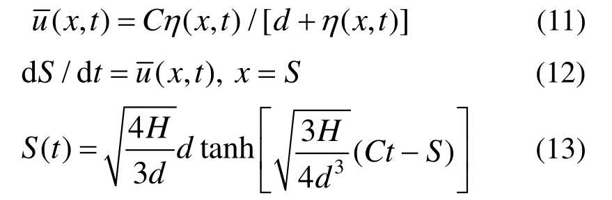
1.4 数值造波原理

近年来,马小舟等 [18] 、赵玄烈等 [19] 通过数值模型对波浪的传播特性进行了数值研究。孤立波为椭圆余弦波的特殊情况。其在传播过程中波形保持不变,波面全在未扰动水面以上。数值模拟中采用孤立波。

其波面方程为:

式中:d为水深;H为波高;C为波速。

将波面方程式(9)和在浅水条件下波浪质点沿深度的水平速度方程式(11)代入推板上运动方程式(12),积分后可得到推板运动位移曲线式(13)。

2 数值建模方法

2.1 浮桥模块

囊式浮桥使用中通过浮桥模块快速拼装而成,浮桥模块主要由承载板、气囊、裙带和铰链组成。几何模型如图3(a)所示,气囊直径为1.525 m,厚度为3.5 mm,主体长度为7.625 m;承载板长6.10 m,宽3.05 m,厚0.45 m。

依据几何模型进行有限元离散:

1)气囊、裙带采用薄壳单元,沿壳厚方向取3个积分点,单元网格大小控制在0.25 m左右。

2)裙带与气囊和承载面之间采用共节点方法连接在一起。

3)承载板采用实体单元,气囊与承载面之间以及相邻气囊之间采用面-面对称罚函数接触算法实现动态接触。

4)承载板之间间隙为 2 cm,通过铰链连接,可以相互转动(转动角度正负各为 2°),但不允许有相互平动。

本文采用Ls-dyna,1D铰链模型模拟,其通过四个节点i、j、p、l定义旋转铰链,铰链的力及力矩采用罚函数方法计算,两节点间的约束方程为C(x i , x j )=0,节点力可表示为 [20]

浮桥模块三维有限元模型如图3(b)所示。

浮桥整体由20个模块组装而成,约60 m长,重约58 t。浮桥的整体有限元模型如图4所示。

模型中囊体和裙带采用了织物复合材料制成,宏观上视为各向同性材料,本文采用Ls-dyna编织材料模型模拟囊体。承载板采用新型铝合金复合板材。模型参数如表1所示。

图3 浮桥模块
Fig.3 Floating bridge module

图4 浮桥有限元模型
Fig 4 Finite element model of floating bridge

表1 浮桥材料参数
Table1 Material parameters of floating bridge

2.2 浮桥-流体耦合模型

浮桥使用中分陆上和海面两种工况。两种工况均包含浮桥囊体与流体耦合作用,其中陆上工况包含囊体与内部气体耦合,海面工况包含囊体与内部气体耦合和囊体与外部水体耦合。处理囊体与流体的耦合关系是本文的关键。

图5为陆上工况下,浮桥-地面模型,其包含浮桥、空气、地面,总节点数为 196852,单元数为177259。其中地面不考虑变形,采用薄壳单元离散;囊体和地面设置接触;浮桥中各浮桥模块从 T1至T20编号;内部气体通过初始化体积建立,并与囊体设置耦合,如图5(c)所示。

图5 浮桥-地面耦合模型
Fig.5 Model of floating bridge-floor coupling

采用重载卡车进行移动载荷的模拟,如图6所示。卡车与承载板之间设置动态接触,为节约计算时间,卡车建模采用了刚体模型。

图6 重载卡车有限元模型
Fig.6 Finite element model of heavy-duty truck

图7为海面工况下,浮桥-海水模型,其包含浮桥、空气、海水、造波板,总节点数为943506,单元数为 906069,模型中海水深为 10 m。浮桥初始位于水面;浮桥中各浮桥模块从T1至T20编号;囊体与海水以及囊体与内部初始化气体设置耦合,如图7(c)所示。浮桥-海水模型中流体四周和顶部为滑移边界,底部为无滑移边界。

图7 浮桥-海水耦合模型
Fig.7 Model of floating bridge-seawater coupling

模型中海水和空气均采用空材料模型,海水和空气的状态方程分别采用 Gruneisen方程和Linear_Polynomial方程,其具体参数见表2和表3。

表2 水体材料参数
Table2 Material parameters of water

表3 空气材料参数
Table3 Material parameters of air

3 模拟方法验证

3.1 数值模型验证

本文引用 Pratt等 [21] 物理模型试验验证文中采用的数值模型和流固耦合计算方法的有效性。为达到数值耦合模型与物理模型在模型尺寸、结构布置及边界条件上一致,按2009年,Pratt进行的浮桥中部静态加载试验,采用 12组浮桥模块与海水耦合模型,并对模型各向线尺寸1/3比例后进行模拟计算,具体参数见表4。

表4 参数缩放
Table4 Scaling parameters

载荷作用下浮桥的变形如图8(a)所示,浮桥中部下沉比较明显,浮桥两端模块略有上浮。浮桥各承载板质心点垂向位移如图8(b)所示,浮桥的最大位移约为0.23 m,通过与以往的梁单元模型、有限元分析法以及试验值比较,本文采用的流固耦合数值分析法与试验值在分布规律和数值上均能较好的吻合,证明了该模拟方法的正确性和可行性。

图8 浮桥各模块垂向位移
Fig.8 Vertical displacement of different modules

3.2 数值造波验证

孤立波模拟中数值模拟采用推板法 [22] 生成,通过推板造波法得到不同时刻的波面形状与理论解波面对比如图9所示,可见数值模拟体现了孤立波传播过程中波形保持不变的特点,波峰高度与理论值吻合。

图9 解析解与数值解对比验证孤立波传播(H=3.6 m, d=10 m)
Fig.9 Comparison of solitary wave evolution between numerical simulation and theoretical result (H=3.6 m, d=10 m)

4 计算结果及分析

基于浮桥-地面模型和浮桥-海水模型,分别展开陆上浮桥和海水浮桥动力响应计算和分析。

4.1 陆上浮桥动力响应分析

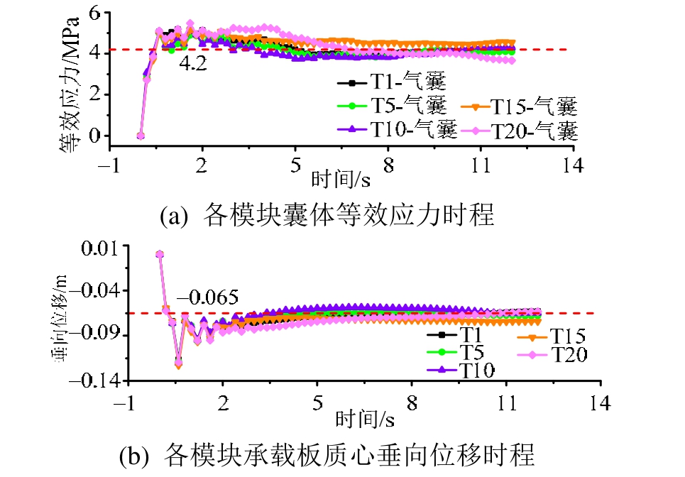
重力作用下浮桥-地面耦合系统通过囊体压缩达到平衡,囊体的最大等效应力时程曲线如图 10所示,平衡状态下气囊的等效应力约为 4.2 MPa,垂向位移量为0.065 m。

图10 浮囊最大等效应力和垂向位移时程曲线
Fig.10 Maximum effective stress and radial deformation versus time of airbags

不同载重的车辆以5 m/s的速度在陆地浮桥上通行时,T10承载板垂向位移如图11(a)所示。可以看出浮桥在自身重力0.065 m的变形基础上,载重从 20 t增至 50 t,垂向位移大幅增加,最大值为0.286 m。T10模块下囊体最大等效应力时程如图11(b)所示,可以看出最大等效应力从空载下的4.2 MPa增至11.8 MPa。陆上浮桥由于浮囊模块之间缺少协同,车辆载荷未能分摊,因此车辆下浮囊应力剧增。

图11 不同载重量条件下浮桥垂向位移和最大等效应力时程曲线
Fig.11 Radial deformation and maximum effective stress versus time of the floating bridge under different load conditions

4.2 海上浮桥动力响应分析

4.2.1 海上浮桥初始工况

重力作用下浮桥-海水耦合系统通过囊体浮力达到平衡,囊体的最大等效应力时程曲线如图 12所示,平衡状态下气囊的等效应力约为 1.6 MPa,垂向位移量为0.175 m。图12(a)与图10(b)对比可以发现海上初始平衡工况下囊体垂向位移明显大于陆上初始平衡工况。

图12 浮囊垂向位移和最大等效应力时程曲线
Fig.12 Radial deformation and maximum effective stress versus time of airbags

图 13为浮桥囊体分别在陆上无移动载荷、陆上移动载荷和海面初始工况下的整体应力分布情况,可知海上浮囊初始平衡时囊体整体应力明显小于陆上无移动载荷和40 t移动载荷工况。

图13 囊体等效应力分布云图 /Pa
Fig.13 Effective stress distribution of gasbags

4.2.2 横向波浪冲击浮桥动力响应分析

横向波浪为波浪入射方向与浮桥轴线垂直。图14为波高2 m的波浪冲击下浮桥铰链接触力、弯矩和囊体应力时程曲线,可见浮桥两侧模块之间的铰链接触力比浮桥中间模块的接触力大,然而浮桥浮桥中间模块的铰链弯矩最大;浮桥两端囊体应力最大,其值为7.26 MPa。

图14 横向波浪冲击下铰链接触力、弯矩和囊体应力时程(波高H=2 m)
Fig.14 Joint force, moment and stress of gasbag versus time under transverse wave impact(wave height=2 m)

图15为在波高2 m的横向波浪冲击下浮桥囊体位移和应力分布情况,可见冲击过程中由于浮桥两端缆绳的约束,浮桥应力集中在两端囊体。

图15 横向波浪冲击过程囊体等效应力分布云图 /Pa
Fig.15 Effective stress distribution of gasbags under transverse wave impact

图 16(a)为在不同波高波浪冲击作用下中部承载板的垂向位移时程曲线,当波高由1 m增大到4 m时,承载板的最大位移分别为0.701 m、1.241 m、1.731 m及2.247 m。从位移时程曲线可知,浮桥模块受波浪的冲击作用会发生上浮,当波峰到达浮桥时,中部承载板的垂向位移会达到最大,随着波浪的继续传播,浮桥模块会发生回落,并最终回到初始的平衡位置处。

图16(b)虚线为不同波高的横向波浪作用下,囊体的最大等效应力值。由图可知,当波高由1 m增加到4 m时,囊体最大等效应力分别为6.21 MPa、7.26 MPa、9.85 MPa 和 12.34 MPa。

图16 不同波高的波浪冲击下中部承载板垂向位移和囊体的最大等效应力
Fig.16 Vertical displacement of the middle module and maximum effective stress of the airbags under different wave height

4.2.3 纵向波浪冲击浮桥动力响应分析

纵向波浪为波浪入射方向沿着浮桥轴线方向。

图17为在波高2 m的纵向波浪冲击下浮桥铰链接触力、弯矩和囊体应力时程曲线,可见铰链接触力在模块T1-T2处最大,铰链弯矩在浮桥中段最大;浮桥模块T1囊体应力最大,其值为9.83 MPa。

图17 纵向波浪冲击下铰链接触力、弯矩和囊体应力时程(波高H=2 m)
Fig.17 Time history curves of joint force, moment and stress of gasbag under longitudinal wave impact (wave height=2 m)

图18为波高2 m的纵向波浪冲击下浮桥囊体位移和应力分布情况,可见冲击过程中由于浮桥两端缆绳的约束,囊体应力在模块T1处最大。

图18 纵向波浪冲击过程囊体等效应力分布云图 /Pa
Fig.18 Effective stress distribution of gasbags under longitudinal wave impact

图16(b)实线为不同波高的纵向波浪作用下,囊体的最大等效应力值。由图可知,当波高由1 m增加到4 m时,囊体最大等效应力分别为7.54 MPa、9.83 MPa、13.58 MPa和 18.70 MPa。

不同波高的纵向波浪冲击下浮桥各模块最大垂向位移如图19所示,可见波高2 m时,浮桥最大位移出现在6号模块,最大垂向位移约为0.85 m;波高4 m时,浮桥最大位移出现在7号模块,最大垂向位移约为1.33 m。最端部的模块由于锚绳的约束作用,其最大垂向位移较小;沿着入射方向,各模块的最大位移先增大然后逐渐减小。这是由于对于纵向入射波浪,各模块及囊体对波浪有比较明显的消波作用,波浪的强度被逐渐减弱。

图19 纵向波浪冲击下各浮桥模块最大垂向位移
Fig.19 Maximum vertical displacement under longitudinal wave impact

5 结论

本文采用多物质 ALE方法模拟充气式浮桥囊体内外部的流体,并通过基于罚函数的耦合方式实现了海水与囊体之间、内部增压气体与囊体之间的耦合作用。通过与试验结果的对比,验证了数值模型和计算方法的可行性和正确性。

分析了浮桥的初始状态,得到了浮桥的初始平衡位置及初始应力,并且相比于陆上浮囊平衡状态,海上浮囊平衡时垂向位移增加,而应力明显减小。模拟了移动载荷浮桥上的通行过程,分析了不同载重对浮桥动力响应的影响。当载重增加时,浮桥的最大垂向位移和囊体的最大应力随之增加。

当波浪冲击时,最大铰链接触力和最大囊体应力出现在浮桥两端,最大铰链弯矩出现在中段;随着波高的增加,囊式浮桥所受的冲击增大。对于纵向2 m和4 m波高的波浪冲击,浮桥最大位移分别出现在6号和7号模块,沿着入射方向,各模块的最大位移先增大然后逐渐减小。

参考文献:

[1]江召兵, 沈庆, 陈徐均, 等.多体系统齐次矩阵方法在浮桥运动响应中的应用研究[J].计算力学学报, 2010,27(6): 1036―1041.Jiang Zhaobing, Shen Qing, Chen Xujun, et al.Study on the application of the homogeneous matrix method of the multi-body system to the dynamic response of floating bridge [J].Chinese Journal of Computational Mechanics,2010, 27(6): 1036―1041.(in Chinese)

[2]江召兵, 陈徐均, 黄亚新, 等.浮桥大位移理论计算方法研究及与动态测试结果的比较分析[J].工程力学,2008, 25(8): 31―35.Jiang Zhaobing, Chen Xujun, Huang Yaxin, et al.Analytical method for floating bridge based on large displacement theory and comparison the results with experimental data of dynamic tests [J].Engineering Mechanics, 2008, 25(8): 31―35.(in Chinese)

[3]王欢欢, 杨勋, 金先龙.移动载荷作用下海岸囊式浮桥动力响应分析[J].振动与冲击, 2016, 35(14): 202―208.Wang Huanhuan, Yang Xun, Jin Xianlong.Dynamic response analysis of gasbag-type floating bridge subjected to a moving load [J].Journal of Vibration and Shock, 2016, 35(14): 202―208.(in Chinese)

[4]张军, 缪国平.不同水深条件下的带式浮桥水弹性特性[J].水动力学研究与进展, 2007, 22(4): 427―433.Zhang Jun, Miao Guoping.Hydroelastic behaviors of a ribbon pontoon bridge with different water depths [J].Journal of Hydrodynamics, 2007, 22(4): 427―433.(in Chinese)

[5]Resio D, Fowler J.Ship-to-Shore causeway system for military and emergency operations [J].Sea Technology,2010, 51(1): 17―18.

[6]Russell B R, Thrall A P, Padula J A, et al.Reconceptualization and optimization of a rapidly deployable floating causeway [J].Journal of Bridge Engineering, 2013, 19(4): 04013013.

[7]Seif M S,Inoue Y.Dynamic analysis of floating bridges[J].Marine Structures, 1998, 11(1-2): 29―46.

[8]Ikegami K, Kumamoto N, Inoue K, et al.Elastic response of floating bridge in waves [C]// Proceedings of OMAE01 20th International Conference on Offshore Mechanics and Arctic Engineering.Rio de Janeiro Brazil,2001: 3―8.

[9]Giannin V, Halim A E, Abass B, et al.Transportation optimization of ribbon floating bridges: Analytical and experimental investigation [J].Open Civil Engineering Journal, 2015, 8(1): 42―56.

[10]Rahman A.Dynamic analysis of floating bridges [J].Procedia Engineering, 2017, 194: 44―50.

[11]王琮, 付世晓, 韩芸, 等.波浪作用下带式舟桥的水弹性分析[J].上海交通大学学报, 2007, 41(9): 1441―1444.Wang Cong, Fu Shixiao, Han Yun, et al.Study on a ribbon bridge in waves based on hydroelasticity theory[J].Journal of Shanghai Jiaotong University, 2007, 41(9):1441―1444.(in Chinese)

[12]张国文, 张晓宇, 沈冬祥.动力固定分置式浮桥的数学建模与分析[J].哈尔滨工程大学学报, 2010, 31(1):79―85.Zhang Guowen, Zhang Xiaoyu, Shen Dongxiang.Mathematical modeling and analysis of a dynamically positioned floating bridge [J].Journal of Harbin Engineering University, 2010, 31(1): 79―85.(in Chinese)

[13]楼云锋, 曹源, 杨颜志, 等.基于混合模型方法的大型输水隧道水锤冲击响应数值分析[J].工程力学, 2016,33(2): 224―231.Lou Yunfeng, Cao Yuan, Yang Yanzhi, et al.Application of multi-scale modeling method to simulate water hammer impacts in the ultra-large water conveyance tunnel [J].Engineering Mechanics, 2016, 33(2): 224―231.(in Chinese)

[14]楼云锋, 李昊, 葛鸿辉, 等.考虑结构响应及轴线形状的防浪堤抗波浪冲击数值模拟研究[J].工程力学,2015, 5(2): 241―249.Lou Yunfeng, Li hao, Ge Honghui, et al.Simulation of wave impact breakwater considering structural response and shape of breakwater axis [J].Engineering Mechanics, 2015, 5(2): 241―249.(in Chinese)

[15]曹源, 金先龙, 李政.冲击载荷下柔性储液罐动态响应数值模拟及规律分析[J].爆炸与冲击, 2011, 31(5):469―474.Cao Yuan, Jin Xianlong, Li Zheng.Dynamic analysis of flexible containers under impact [J].Explosion and Shoke Waves, 2011, 31(5): 469―474.(in Chinese)

[16]陈向东, 徐宇工, 李志敏.基于多物质 ALE的列车水箱晃动三维模拟及箱壁动应力研究[J].北京交通大学学报, 2011, 35(4): 142―147.>Chen Xiangdong, Xu Yugong, Li Zhimin.Three dimensional simulations of tank sloshing and dynamic stress analysis of the tank wall based on multi-material ALE [J].Journal of Beijing Jiaotong University, 2011,35(4): 142―147.(in Chinese)

[17]邓荣兵.爆炸冲击波与复杂结构动态耦合系统数值模拟方法及应用[D].上海: 上海交通大学, 2010.Deng Rongbing.Numerical simulation method and application of blast-complex structures coupling system[D].Shanghai: Shanghai Jiao Tong University, 2010.(in Chinese)

[18]马小舟, 马玉祥, 朱小伟, 等.波浪在潜堤上传播的非线性参数分析[J].工程力学, 2016, 33(9): 235―241.Ma Xiaozhou, Ma Yuxiang, Zhu Xiaowei, et al.Analysis of wave nonlinear parameters for waves transformation over a submerged bar [J].Engineering Mechanics, 2016,33(9): 235―241.(in Chinese)

[19]赵玄烈, 宁德志, 康海贵, 等.波浪作用下上部带有透空结构的圆筒垂向水动力特性的解析研究[J].工程力学, 2017, 34(12): 239―247.Zhao Xuanlie, Ning Dezhi, Kang Haigui, et al.Analytical study on the vertical hydrodynamics of a truncated cylinder with upper porous wall and inner column [J].Engineering Mechanics, 2017, 34(12): 239―247.(in Chinese)

[20]LS-DYNA Keyword User’s Manual (971)[M].California: Livermore Software Technology Corporation,2012.

[21]Pratt J N, Bevins T L, Walker B E, et al.Transportable flotation system: U.S.Patent 7481176 [P].2009-01-27.

[22]王浩霖, 张华昌, 董胜.直立堤上任意方向入射波的波压力研究[J].工程力学, 2018, 35(5): 246―256.Wang Haolin, Zhang Huachang, Dong Sheng.A study on arbitrary incident wave pressure on vertical breakwaters[J].Engineering Mechanics, 2018, 35(5): 246―256.(in Chinese)

DYNAMIC FLUID-STRUCTURE INTERACTION ANALYSIS OF GASBAG-TYPE FLOATING BRIDGES UNDER WAVE IMPACT

LOU Yun-feng 1 , LIU Tao 2 , WANG Huan-huan 1 , FU Bao-qiang 3 , JIN Xian-long 1
(1.School of Mechanical Engineering, Shanghai Jiaotong University, Shanghai 200240, China;2.Aerospace System Engineering Shanghai, Shanghai 201108, China; 3.Kaidi Northwest Rubber Co., Ltd., Xianyang 712023, China)

Abstract: The numerical simulation analysis of gasbag-type floating bridges (GTFBs)under various conditions were studied using the multi-material ALE (Arbitrary Lagrangian-Eulerian)method.The fluid was described by the ALE method, the structure was described by the Lagrangian method and the coupling process between the structure and fluid was achieved by the penalty method.Floating bridge-fluid coupling models were constructed.The models and approaches were validated by comparing with the wave theory and experimental data.The structural responses of the GTFB under gravity, moving load and wave impact were analyzed.The results show that the vertical displacement and stress of the gasbag were raised by increasing the mass of the moving load.Compared with the land condition, the vertical displacement of the gasbag increases and the stress reduces significantly.The maximum contact force of the hinge and the maximum stress of the gasbag appear at the ends of the floating bridge, and the maximum bending moment of the hinge appear in the middle section.The stress of the gasbag was raised by increasing the height of the wave.

Key words: gasbag-type floating bridge; fluid-structure interaction; wave impact; dynamic model; structural response

付宝强(1965—),男,陕西人,高级工程师,博士,公司董事,主要从事橡胶设备设计(E-mail: fbqiang@163.com)

刘 涛(1987—),男,江苏人,博士生,主要从事流固耦合动力学研究(E-mail: liutao@163.com);

王欢欢(1986—),男,山东人,博士,主要从事海岸工程数值计算研究(E-mail: yichenwanghuan@sjtu.edu.cn)

作者简介:

楼云锋(1987—),男,浙江人,博士,主要从事大型结构-流体耦合高性能计算研究(E-mail: louyunfeng9021@sjtu.edu.cn);

基金项目: 国家重点研发计划项目(2016YFB0201800);国家自然科学基金项目(51475287,11772192).

通讯作者: 金先龙(1961—),男,湖北人,教授,博士,博导,主要从事高性能并行计算研究(E-mail: jxlong@sjtu.edu.cn).

文章编号: 1000-4750(2018)09-0232-08

收稿日期: 2017-05-08;修改日期:2018-03-01

文献标志码: A

doi: 10.6052/j.issn.1000-4750.2017.05.0337

中图分类号: O353.4 ; U656.2