李玉顺,张家亮,童科挺,郭 军,邬 沛
(宁波大学建筑工程与环境学院,浙江,宁波 315211)
摘 要:基于初等梁变形理论和界面滑移与应变差关系,建立了钢-竹组合工字形梁界面相对滑移微分方程,推导出3种常见荷载作用下的组合梁钢-竹界面滑移和应变差解析解,在此基础上依据虚功原理提出了界面滑移引起的跨中附加挠度理论计算公式,从而形成了钢-竹组合工字形梁考虑滑移效应的跨中挠度计算方法,进一步通过 6根梁的模型试验,探讨了界面应变差、界面滑移分布以及组合梁变形,并与试验结果进行了比较。理论分析和试验研究结果表明:钢-竹界面应变差的理论计算值与试验结果吻合较好,受压区和受拉区应变差分布基本相同;组合梁的纯弯区段,界面滑移曲线斜率增大,而弯剪区段则逐渐减小,界面滑移在梁端达到最大值,且在整个弯剪区段保持较大水平,因此在该区域布置连接件,可有效提高组合梁的整体工作性能;考虑界面滑移效应后的理论分析结果与未考虑滑移效应的换算截面法相比,更接近组合梁真实的变形,平均误差由11.5%减小为1.64%,随着变形的增大,基于界面滑移效应的钢-竹组合梁变形分析方法的优越性将更为突出。
关键词:钢-竹组合工字形梁;界面滑移;应变差;附加挠度;变形分析
钢-竹组合梁是冷弯薄壁型钢与竹材人造板通过胶粘剂复合而成,两者共同受力[1]。冷弯薄壁型钢与普通钢结构相比,相同截面积下具有更大的回转半径和惯性矩,但由于宽厚比增大,更容易发生整体失稳和局部屈曲。钢-竹组合梁中型钢的翼缘和腹板周边均有竹板支撑[2―3],可显著改善薄壁型钢的抗失稳屈曲性能;型钢骨架则便于获得工字形等有利于充分发挥竹材高强度的组合型截面构件,并且其高弹性模量有效提高组合梁的整体刚度,从而达到竹材与薄壁型钢优势互补的效果。两种材料通过粘结复合而成的组合构件中其界面是相对薄弱部位,组合梁在外荷载作用下将产生竖向挠度并发生弯曲,导致钢-竹界面相对滑移,并将进一步增大组合梁的变形。因此,有必要深入分析钢-竹界面滑移对组合梁变形的影响,并建立定量评价方法。
国内外针对组合梁滑移及变形方面的研究,主要围绕钢-混凝土组合梁或非特定材料组合梁展开。20世纪50年代初,Newmark等[4]首次提出考虑钢-混凝土交界面相对滑移影响的组合梁变形及承载力计算方法,并建立了比较完善的“不完全交互作用”理论,但其微分方程的推导和求解较为复杂,未能在实际工程中得到广泛应用。Girhammar等[5―6]建立了组合梁考虑界面滑移的 1阶和 2阶控制方程,分析了轴向力和均布荷载作用下简支组合梁静力和动力响应,Wang[7]则基于该模型,研究了均布载荷作用下简支组合梁考虑滑移效应的最大挠度,并与有限元分析结果进行了比较。文献[8-10]通过模型试验、理论分析及有限元模拟,提出了不同载荷作用下钢-混凝土组合梁界面滑移及组合梁强度、刚度等的计算方法;Paolo[11]采用剪应力-滑移应变曲线进行了滑移效应的非线性分析,所得计算结果与试验结果吻合较好;Xu和Chen[12]利用变分原理,提出了考虑滑移效应的组合梁变形及内力计算方法,并得到了弯曲挠度、振动频率以及屈曲荷载的近似解。聂建国等[13―14]分析不同荷载作用下组合梁因滑移效应产生的附加变形计算公式,并采用折减刚度法将其变形公式进行了简化。
作为一种新型结构体系,有关钢-竹组合梁界面滑移效应及其对变形影响的研究鲜有涉及。该文基于初等梁理论和界面滑移与应变关系,提出了 3种常见荷载作用下钢-竹组合梁界面相对滑移以及滑移效应导致的跨中附加变形解析方法,并通过6根钢-竹组合工字形梁模型试验验证了其理论分析的可靠性,从而形成合理的钢-竹组合梁变形实用计算方法。
竹材轻质高强,比强度高于木材和普通钢材,具备作为工程结构用材的良好条件。借助竹材改性技术,由小直径的空心圆柱体原竹可生产能够适应现代工程结构建造技术的各种板材和型材。中国林业科学研究院、湖南大学、东南大学、Santa Clara University等科研院所利用上述改性竹材开发了梁、柱等建筑结构构件,并进行了相关研究[15―18],但构件组成上大多采用单一竹材的实心截面形式。
竹材的强度高,实心截面构件难以充分发挥竹材较高的强度,而工字形、箱形、空心形等组合型截面是提高高强材料利用率的一种有效途径。宁波大学竹结构研究团队提出了将竹材人造板与冷弯薄壁型钢通过胶粘剂进行复合构成组合型截面构件的方法,开发了钢-竹组合空腹式楼板/墙体、钢-竹组合工字形梁/柱、钢-竹组合箱形梁/柱、钢-竹组合梁柱节点等,并进行了相关研究[1―3, 19]。这种组合方式便于加工制作和工业化生产,荷载作用下竹板与型钢间具有良好的组合效应,薄壁型钢由于竹板的约束作用其抗失稳屈曲性能得到明显改善。
该文所提及的钢-竹组合工字形梁构成方式如下(图 1):以两根背靠背放置的冷弯薄壁槽钢(A)为骨架,其腹板间用高强结构胶粘剂粘结与之等高等长的竹胶板(B)形成钢-竹组合体(AB),在组合体上、下翼缘外侧分别粘结竹胶板(C),从而形成工字形截面的钢-竹组合梁。这种组合方式可保证型钢周边均有竹板支撑,可有效提高薄壁型钢的抗屈曲失稳性能。

图1 钢-竹组合工字形梁截面构造
Fig.1 Bamboo-steel composite I-beam
钢-竹组合工字形梁的静力加载试验结果表明,随着变形发展组合梁上、下翼缘的钢-竹界面产生滑移,而腹板的整体性保持完好,两根槽钢腰部与夹在其间的竹板变形一致,因此腹板区钢-竹界面的滑移可忽略不计。研究表明,钢-竹组合工字形梁可提供较高的承载能力,破坏之前将产生较大变形,并呈现出一定的塑性发展。根据现行相关规范规定,受弯构件正常使用极限状态挠度限值为L/250(L为受弯构件的计算跨度),钢-竹组合工字形梁受弯性能试验数据的分析表明[20],组合梁跨中挠度小于L/250时,型钢和竹板应变均处于弹性范围。
基于上述分析,并结合参考文献[21]的研究成果和初等梁理论采用如下假定。
1) 冷弯薄壁型钢与竹胶板均为弹性体。
2) 钢-竹界面剪力-滑移关系为Q=ks,k为界面单位梁长的滑移刚度,根据参考文献[21]确定。受压区和受拉区界面采用同一刚度 k,其界面剪力方程分别表示为:Q1=ks1(受压区),Q2=ks2(受拉区)。
3) 组合梁中的上、下翼缘竹板和腹板截面分别符合平截面假定,且具有相同的曲率。
4) 组合梁的腹板区不考虑钢-竹界面滑移行为,作为整体进行分析。
5) 忽略剪切变形及界面掀起力的影响。
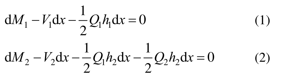
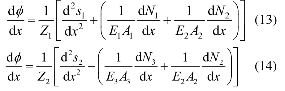
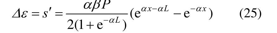
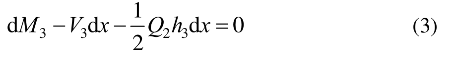
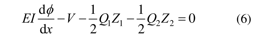
组合梁中截取一微单元体,并将其分解为3个隔离体,上翼缘、腹板以及下翼缘,并依次编号为1、2、3(图2)。根据单元体受力分析得到如下平衡方程:

式中:M1、M2、M3分别为隔离体 1、2、3所受的弯矩;V1、V2、V3分别为隔离体1、2、3所受的剪力;h1、h2、h3分别为隔离体1、2、3的高度;Q1、Q2分别为受压区和受拉区界面剪力。
由微分方程式(1)、式(2)、式(3)可得:
式中:![]()
![]()

图2 组合梁微元体受力图
Fig.2 Load state of micro element in the composite beam
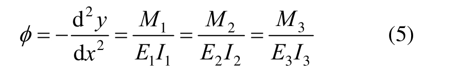
根据初等梁变形理论,在小变形情况下可建立如下关系式:

式中:ϕ为曲率;Ei、Ij分别为材料弹性模量和截面惯性矩,下标i,j为隔离体序号(i,j=1, 2, 3);y为截面上任一点到中性轴的距离。由式(4)、式(5)可得:
式中 EI = E1I1+ E2I2+ E3I3。
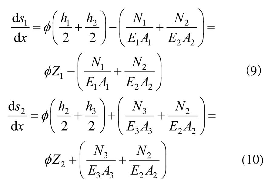
滑移是由于界面两侧物体变形不一致产生,两者变形差值即为界面的滑移量。受压区、受拉区界面滑移与应变差之间可建立如下关系:

根据假定3),并考虑轴向力对隔离体变形的影响,可得:

式中:N1、N2、N3分别为隔离体1、2、3的轴力;s1、s2分别为受压区、受拉区界面滑移量;A1、A2、A3分别为隔离体1、2、3的横截面面积。
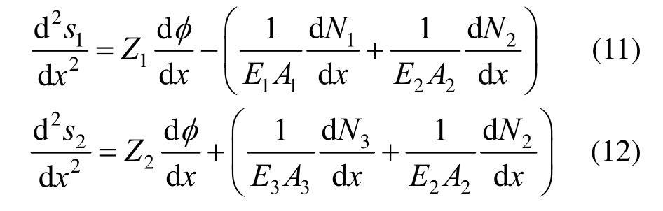
对式(9)、式(10)进行微分可得:

即:

沿x方向对隔离体1、2、3分别列平衡方程后整理可得下列关系式:
式中: Q1=ks1, Q2=ks2。
将式(13)、式(14)代入式(6),并利用上述关系化简得到:

式(16)和式(17)为微分方程组,可求解为如下形式:
受压区和受拉区钢-竹界面边界条件相近,可令s1=s2,上、下翼缘厚度相等时可得 Z1=Z2=Z,故式(16)和式(17)最后可统一为如下简化表达式:

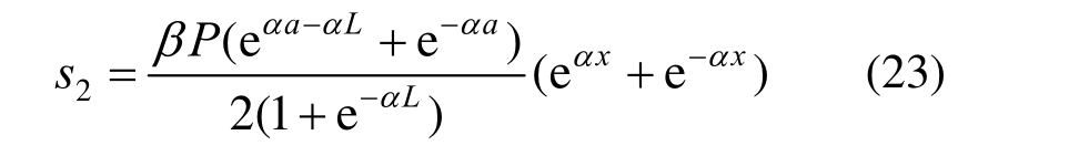
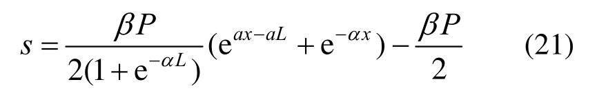
引入相应的边界条件s(x=0)=0和ds/dx(x=l/2)=0,可求得 3种常见荷载作用下钢-竹界面相对滑移量的理论解,分别列于如下。
① 均布荷载作用下

② 跨中集中荷载作用下
③ 对称集中荷载作用下
剪弯段:

纯弯段:

式中:P为集中荷载值;q为均布荷载值;L为梁的计算跨度;a为集中荷载间距。
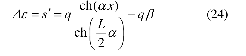
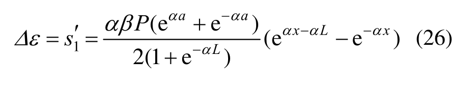
根据界面相对滑移与应变差之间的微分关系,利用式(20)~式(23)得出3种常见荷载作用下的界面应变差计算公式。
① 均布荷载作用下

② 跨中集中荷载作用下
③ 对称集中荷载作用下
剪弯段:

纯弯段:
忽略组合梁钢-竹界面的滑移,将其视作整体结构进行分析时,可利用换算截面法得到3种常见荷载作用下的组合梁跨中挠度。
均布荷载作用下:

跨中集中荷载作用下:

对称集中荷载作用下:

式中:Es为冷弯薄壁型钢的弹性模量;Isb为将钢-竹组合截面换算成冷弯薄壁型钢的截面惯性矩。
不考虑滑移效应的跨中挠度采用如下简化形式:
式中,i=1, 2, 3依次表示均布荷载、跨中集中荷载和对称集中荷载工况。
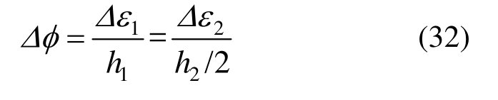
考虑滑移效应后的截面应变分布如图3(b)中的斜实线所示,根据假定该3段斜实线互相平行,因此界面相对滑移引起的附加曲率为:


图3 截面应变分布
Fig.3 Strain distribution of the section
而 ∆ε =∆ε1+∆ ε2=∆ φ(h1+ h2/2)、h1=h3,当拉、压区应变差相等时可得到下式:
根据虚功原理求得附加曲率产生的附加变形如下:
式中:h为组合梁截面高度;M为虚力产生的弯矩。
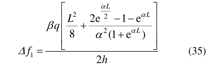
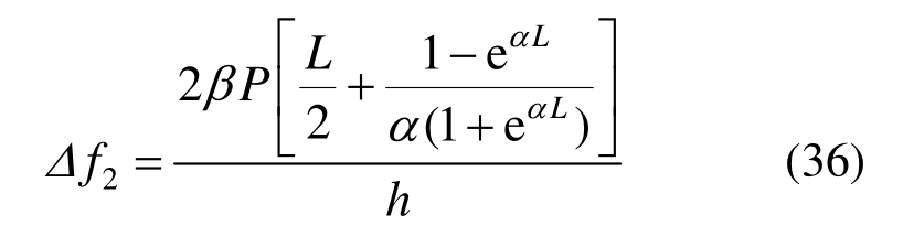
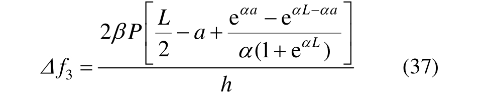
将前面推导出的应变差计算式(24)、式(25)及式(27)代入式(34)进行积分可求得 3种常见荷载作用下钢-竹界面滑移引起的跨中附加挠度。
① 均布荷载作用下:

② 跨中集中荷载作用下:

③ 对称集中荷载作用下:

考虑滑移效应的钢-竹组合梁跨中挠度可在换算截面法求得的挠度基础上叠加因界面滑移引起的附加挠度而得。即:
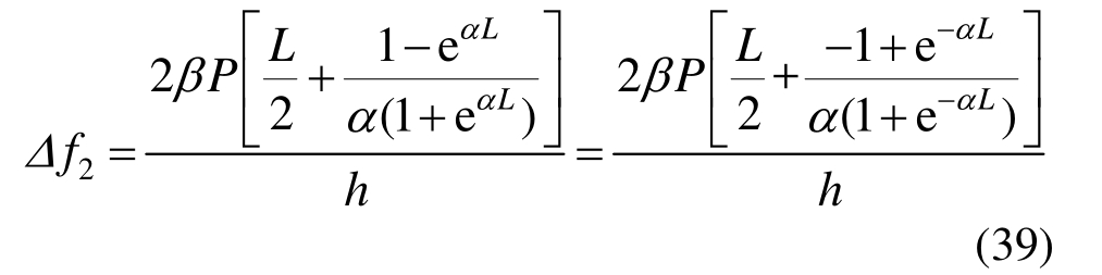
将式(28)~式(30)及式(35)~式(37)代入式(38)即可得钢-竹组合工字形梁在 3种常见荷载作用下基于界面滑移效应的跨中挠度计算表达式。不过直接利用该公式实际求解时的计算比较繁琐,为了应用方便,进一步对其进行简化。以跨中集中荷载为例,可对式(36)进行如下变换:

式中e- α L→ 0。
将式(36)化简为:

同理得出:

最后可得钢-竹组合工字形梁考虑界面滑移效应的跨中挠度计算公式如下:
式中的荷载工况依次为均布荷载、跨中集中荷载和对称集中荷载作用。
为了验证上述理论分析的可靠性,实施了钢-竹组合工字形梁静力加载试验,对界面应变差和跨中挠度的理论分析结果与试验值进行了对比,并对界面滑移分布特征进行了分析。
试验设计了6根钢-竹组合工字形梁试件(图4),具体试验参数详见表 1。表中,竹板厚为组合梁翼缘处竹胶板厚度,且上、下翼缘厚度相等,腹板处竹板厚度均为20.0 mm;构件截面高度为上、下翼缘竹板厚度与槽钢高度之和,宽度为两根槽钢翼缘宽度与腹板处竹板厚度之和。

图4 钢-竹组合工字形梁试件
Fig.4 Specimen of bamboo-steel composite I-beam
如前所述,钢-竹组合工字形梁由2根冷弯薄壁槽钢和 3根竹胶板条通过结构粘合剂复合而成(图1)。由于竹板的约束作用,钢-竹组合构件中的冷弯型钢宽(高)厚比可以进一步放宽,因此市面上标准规格的冷弯薄壁型钢无法直接用于本次试验。笔者利用1.5 mm和2 mm厚的Q235镀锌钢板在专业的生产线加工试验所需的冷弯薄壁槽钢。本次试验采用的竹材人造板为重组竹,由大型专业的生产厂家加工制作。型钢和竹板的弹性模量根据现行国家标准中的相应试验方法量测而得。
组合梁的制作加工及相关试验在宁波大学结构工程实验室完成。以四轴万能试验机为支座,采用机械千斤顶施加对称集中荷载。试验采用分级加载,其中 B-1~B-5每级荷载为 2 kN,B-6每级荷载为5 kN。组合梁1/2跨度范围内,其上、下翼缘的内、外侧表面按200 mm间距粘贴若干应变片(图 5),以测得型钢与竹板的应变分布及其变化,为钢-竹界面应变差分析提供基础数据。图中还建立了以跨中为原点的单轴坐标系。试件的支座、跨中及集中荷载作用点处布置位移传感器,以测定组合梁在荷载作用下的竖向挠度。
表1 试件基本参数
Table 1 Parameters of specimens

进行钢-竹组合梁界面滑移分析试验时,直接在型钢与竹板界面粘贴应变片有一定困难。竹板若不开槽,应变片周边将附着胶粘剂,且由于胶粘剂涂层较薄,应变片将受到挤压导致应变数据失真;而由于竹板的硬度很大,难以在竹板开槽,并且较大的槽口亦影响组合梁的受力性能。基于上述考虑,此次试验时直接在组合梁上、下翼缘的型钢和竹板的外表面以及翼缘侧面1/2高度相对齐位置粘贴应变片。根据假定3),钢-竹界面处竹板应变为:
式中:εbf为翼缘竹板表面应变测试值;εbf/2为翼缘侧面1/2高度处应变测试值。
由于型钢壁厚仅为1.5 mm~2.0 mm,忽略其厚度影响,则界面处型钢应变为:
式中εsf为翼缘型钢表面应变测试值。
因此界面应变差试验值可按下式求得:
组合梁试件中应变片的粘贴位置详见图 5。根据试验量测结果绘制的组合梁 B-1在 x=0 mm、x=200 mm、x=400 mm、x=600 mm、x=800 mm、x=1000 mm处测点应变随荷载的变化曲线如图6所示,其中坐标原点为跨中。从图中可知,加载初期应变曲线斜率基本保持不变,应变随着荷载线性增长;同一坐标处的受压区和受拉区竹板和型钢相对应测点的应变量测值各自基本相等,差值小于10%。而x=200 mm、x=400 mm处上翼缘竹板测点2、测点 3与下翼缘竹板测点 8、测点 9的应变量测值分别为-3531、-3373、2980、2709(P=40 kN 时),上翼缘应变比下翼缘增大20%左右,主要由于测点2、测点 3的位置离加载点较近,产生局部应力集中现象,随着测点位置远离加载点,同一坐标处受拉区和受压区竹板与型钢应变各自基本相等。

图5 应变片分布示意图
Fig.5 Distribution of strain gauges

图6 应变分布实测值(B-1)
Fig.6 Strain distribution of the composite beam (B-1)
采用式(26)、式(27)和式(46)可得钢-竹界面应变差的理论值与试验值。图7为以B-1和B-3为例绘制的界面应变差试验值与理论值对比情况,图中坐标系左侧和右侧分别为受压区和受拉区在x=0 mm、x=200 mm、x=400 mm、x=600 mm、x=800 mm、x=1000 mm处应变差随荷载变化曲线。图中T表示试验结果,C表示理论分析结果。图7显示,应变差的理论计算值与试验结果之间吻合较好,同一坐标处受压区和受拉区的应变差基本相等,进一步验证了推导式(19)时所用的假设成立。图7结果还表明,在剪弯区段加载点到支座间应变差逐渐变小,相对滑移量斜率为负值;纯弯段从跨中到加载点应变差逐渐变大,相对滑移量斜率为正值。

图7 界面应变差分布对比(B-1)
Fig.7 Comparison of strain difference (B-1)
组合梁在荷载作用下,界面产生切应力,从而引起相对滑移。组合梁静力试验过程中可观察到钢-竹界面的滑移现象,界面应变分布和应变差分析结果也表明钢-竹界面存在滑移。界面滑移将导致组合梁整体刚度降低,增大变形,影响构件受力性能。因此,合理评价钢-竹界面滑移量及其分布规律,可提高组合梁变形分析的精确性,并进一步探讨控制界面滑移的有效措施,从而提高组合梁刚度,确保组合梁整体工作性能。
钢-竹界面应变差分析结果表明,其理论计算值与试验值之间吻合良好,说明该文建立的界面应变差计算公式精度较高。界面应变差与界面相对滑移间存在微分关系,由此可推断前述的界面相对滑移分析合理,所建立的界面滑移计算公式同样也能够提供与实际相符合的计算结果。以组合梁B-1、B-3以及 B-5为例,利用式(22)和式(23)对钢-竹组合梁剪弯段和纯弯段滑移进行了分析计算,组合梁沿梁长的滑移分布曲线如图8所示。图中x为界面上一点与跨中的水平距离,荷载工况为对称集中荷载作用。

图8 界面滑移分布曲线
Fig.8 Slip distribution curves of bamboo-steel interface
由图8可知,在x=0 mm ~ x=300 mm的纯弯区段,滑移曲线斜率增大,在x=300 mm ~ x=1150 mm的弯剪区段,曲线斜率则逐渐减小,与前述应变差分析结果相一致,界面应变差与滑移之间的微分关系进一步得到验证。正常使用阶段组合梁的弯剪区段滑移较大,且梁端部达到最大值。为了减小界面滑移效应对组合梁受力性能的不利影响,可在梁端及加载点间的弯剪区段布置一定间距的连接件,以提高组合梁的整体工作性能。
图9为依据该文建立的理论计算方法获得的荷载-跨中挠度关系曲线与试验结果的对比。从图中可看出,荷载-跨中挠度理论曲线与试验曲线吻合良好,说明该文建议的考虑滑移效应的钢-竹组合梁变形分析方法具有较高精度。表2给出了正常使用极限状态下(因分级加载,无法精确对应正常使用极限状态挠度)组合梁的跨中挠度试验值与理论值。表中结果显示,两者间的相对误差δ2均较小,平均误差仅为1.64%,说明考虑滑移效应引起的附加挠度可实现组合梁变形分析结果基本接近实际。

图9 荷载-跨中挠度曲线
Fig.9 Load-midspan deflection curves
表2 组合梁跨中挠度试验值与计算值
Table 2 Experimental and calculated result for mid-span deflection of the composite beam

注:ft为跨中挠度试验值,f1为按式(30)所得跨中挠度计算值, Δf为按式(37a)所得跨中附加挠度计算值,f2为考虑附加挠度的跨中挠度计算值,即 f= f+Δf,误差
,误差
21
表2中还列出了未考虑滑移效应直接按换算截面法求得的跨中挠度计算值,并与试验结果之间进行了对比。从表中结果可知,未考虑滑移效应时其计算值与试验值之间的相对误差δ1偏大,多数超过10%,平均误差达到 11.5%;而考虑滑移效应后其平均误差降为1.64%,计算精度有较大提高,与试验值之间达到较好的吻合,基于滑移效应的钢-竹组合梁变形分析方法具有明显效果。
(1) 基于微元体平衡关系和初等梁变形理论,建立了钢-竹组合工字形梁界面相对滑移微分方程,并结合虚功原理提出了界面滑移引起的跨中附加变形计算方法,与换算截面法计算结果相叠加,得到考虑滑移效应的钢-竹组合梁变形分析方法,可为实际应用提供理论依据。
(2) 钢-竹界面应变差的理论计算值与试验结果之间吻合较好,同一坐标处受压区和受拉区的应变差基本相等,弯剪区段加载点到支座应变差逐渐变小,相对滑移量斜率为负值;纯弯段从跨中到加载点应变差逐渐变大,相对滑移量斜率为正值。
(3) 钢-竹组合梁的纯弯区段,界面滑移曲线斜率增大,而弯剪区段,曲线斜率则逐渐减小,与应变差分析结果相一致。正常使用阶段组合梁的弯剪区段滑移较大,且梁端达到最大值,在梁端及加载点间的弯剪区段布置一定间距的连接件,可有效提高组合梁的整体工作性能。
(4) 钢-竹组合工字形梁变形的计算分析与测试结果表明,考虑界面滑移效应后的理论分析结果与未考虑滑移效应的换算截面法计算结果相比,与试验值之间的吻合度提高,正常使用极限状态跨中挠度的平均误差由 11.5%减小为1.64%,考虑滑移效应的组合梁变形分析可有效地提高计算精度。
参考文献:
[1] 李玉顺, 张家亮. 钢-竹组合构件及其结构体系研究进展[J]. 工业建筑, 2016, 46(1): 1―6.Li Yushun, Zhang Jialiang. State of the art of bamboo-steel composite components and structural system [J]. Industrial Construction, 2016, 46(1): 1―6. (in Chinese)
[2] Li Y S, Shan W, Shen H Y, et al. Bending resistance of I-section bamboo-steel composite beams utilizing adhesive bonding [J]. Thin-Walled Structures, 2015, 89:17―24.
[3] 李玉顺, 沈煌莹, 单炜, 等. 钢-竹组合工字梁受剪性能试验研究[J]. 建筑结构学报, 2011, 32(7): 80―86.Li Yushun, Shen Huangying, Shan Wei, et al.Experimental study on shear behavior of I-section bamboo-steel composite beams [J]. Journal of Building Structures, 2011, 32(7): 80―86. (in Chinese)
[4] Newmark N M, Siess C D, Viest I M. Tests and analysis of composite beams with incomplete interaction [J].Proceedings of the Society for Experimental Stress Analysis, 1951, 9(1): 75―92.
[5] Girhammar U A, Gopu B V. Composite beam-columns with interlayer slip-exact analysis [J]. Journal of Structural Engineering, ASCE, 1993, 119(4): 1265―1282.
[6] Girhammar A, Pan D. Dynamic analysis of composite members with interlayer slip [J]. International Journal of Solids and Structures, 1993, 30(6): 797―823.
[7] Wang Y C. Deflection of steel-concrete composite beam with partial shear interaction [J]. Journal of Structural Engineering, ASCE, 1998, 124(10): 1159―1165.
[8] 蒋丽忠, 余志武, 李佳. 均布荷载作用下钢-混凝土组合梁滑移及变形的理论计算[J]. 工程力学, 2003, 20(2):133―137.Jiang Lizhong, Yu Zhiwu, Li Jia. Theoretical analysis of slip and deformation of steel-concrete composite beam under uniformly distributed loads [J]. Engineering Mechanics, 2003, 20(2): 133―137. (in Chinese)
[9] 孙飞飞, 李国强. 考虑滑移、剪力滞后和剪切变形的钢-混凝土组合梁解析解[J]. 工程力学, 2005, 22(2): 96―103.Sun Feifei, Li Guoqiang. A closed-form solution for steel-concrete composite beams with slip, shear lag and shear deformation [J]. Engineering Mechanics, 2005,22(2): 96―103. (in Chinese)
[10] 赵卫平. 基于 ANSYS接触分析的粘结-滑移数值模拟[J]. 建筑科学与工程学报, 2011, 28(2): 44―51.Zhao Weiping. Bond-slip numerical simulation based on ANSYS contact analysis [J]. Journal of Architecture and Civil Engineering, 2011, 28(2): 44―51. (in Chinese)
[11] Paolo F. Analytical solution of two-layer beam taking into account nonlinear interlayer slip [J]. Journal of Engineering Mechanics, 2009, 135(10): 1129―1146.
[12] Xu R Q, Chen D Q. Variational principles of partial-interaction composite beams [J]. Journal of Engineering Mechanics, 2012, 138(5): 542―551.
[13] 黄远, 聂建国, 易伟建. 考虑滑移效应的钢-混凝土组合框架梁的刚度研究[J].工程力学, 2012, 29(11): 88―92.Huang Yuan, Nie Jianguo, Yi Weijian. Stiffness of steel-concrete composite frame beam with slip effect [J].Engineering Mechanics, 2012, 29(11): 88―92. (in Chinese)
[14] 聂建国, 沈聚敏, 袁彦生. 钢-混凝土简支组合梁变形计算的一般公式[J]. 工程力学, 1994, 11(1): 21―27.Nie Jianguo, Shen Jumin, Yuan Yansheng. A general formula for predicting the deflection of simply supported composite steel-concrete beams with the consideration of slip effect [J]. Engineering Mechanics, 1994, 11(1): 21―27. (in Chinese)
[15] 陈绪和, 王正. 竹胶合梁制造及在建筑中的应用[J].世界竹藤通讯, 2005, 3(3): 18―20.Chen Xuhe, Wang Zheng. Bamboo based panels for structural application [J]. World Bamboo and Rattan,2005, 3(3): 18―20. (in Chinese)
[16] 肖岩, 冯立, 吕小红, 等. 胶合竹柱轴心受压试验研究[J]. 工业建筑, 2015, 45(4): 13―17.Xiao Yan, Feng Li, Lü Xiaohong, et al. Experimental studies of Glubam columns under axial loads [J].Industrial Construction, 2015, 45(4): 13―17. (in Chinese)
[17] Wu W Q. Experimental analysis of bending resistance of bamboo composite I-shaped beam [J]. Journal of Bridge Engineering, 2014, 19(4): 1―13.
[18] Aschheim M, Gil-Martín L M, Hernández-Montes E.Engineered bamboo I-joists [J]. Journal of Structural Engineering, 2010, 136(12): 1619―1624.
[19] 李玉顺, 蒋天元, 单炜, 等. 钢-竹组合梁柱边节点拟静力试验研究[J]. 工程力学, 2013, 30(4): 241―248.Li Yushun, Jiang Tianyuan, Shan Wei, et al. Quasi-static test on steel-bamboo composite beam-column exterior joints [J]. Engineering Mechanics, 2013, 30(4):241―248.(in Chinese)
[20] 沈煌莹. 钢-竹组合工字形梁力学性能研究[D]. 宁波:宁波大学, 2011.Shen Huangying. Study on mechanical properties of I-section bamboo-steel composite beams [D]. Ningbo:Ningbo University, 2011. (in Chinese)
[21] 解其铁. 静荷载作用下钢-竹界面粘结性能研究[D]. 宁波: 宁波大学, 2012.Xie Qitie. Study on bond property of steel-bamboo interface under static loads [D]. Ningbo: Ningbo University, 2012. (in Chinese)
STUDY ON INTERFACE SLIP AND DEFORMATION OF BAMBOO-STEEL COMPOSITE I-BEAMS
LI Yu-shun , ZHANG Jia-liang , TONG Ke-ting , GUO Jun , WU Pei
(Faculty of Architectural, Civil Engineering & Environment, Ningbo University, Ningbo, Zhejiang 315211, China)
Abstract:On the basis of elementary beam deformation theory as well as the relationship between interface slip and strain difference, differential equations of interface slip in I-section bamboo-steel composite beams are established. Analytic expressions of bamboo-steel interface slip and strain difference which corresponds to three classical loads are derived, based on which the formula of additional mid-span deflection caused by interface slip is put forward according to the principle of virtual work, so as to deduce a calculation method of additional mid-span deflection considering slip effect. 6 specimens were prepared in the experiment, the strain difference,distribution of the interface slip and deformation of the composite beam were investigated, and the theoretical method was compared with the experimental results. Results show that theoretical calculations of bamboo-steel interface strain difference coincide with experimental results well, and distributions of strain differences in compression area and tensile area are basically the same; slop of interface slip curve increases in the pure bending area and decreases in the bending-shear area; maximum values of the slip are found on the beam ends, and the slip is larger in the whole bending-shear area, thus the arrangement of a number of connectors in the bending-shear area may effectively improve the working performance of the composite beams. Considering the slip effect or not,a comparison between the new method and the transformation-section method show that the new method is more closer to the experimental results, as the average error decreases from 11.5% to 1.64%, and advantages of the new method become more obvious when deformation increases.
Key words:bamboo-steel composite I-beam;interface slip;strain difference;additional deflection;deformation analysis
中图分类号:TU398+.6
文献标志码:A
doi:10.6052/j.issn.1000-4750.2017.03.0215
文章编号:1000-4750(2018)07-0150-09
收稿日期:2017-03-17;修改日期:2017-06-23
基金项目:国家自然科学基金项目(51678310,51378265)
通讯作者:张家亮(1987—),男,浙江人,博士生,主要从事组合结构研究(E-mail: zhangjialiang@nbu.edu.cn).
作者简介:
李玉顺(1968—),女,黑龙江人,教授,博士,主要从事组合结构研究(E-mail: lys0451@163.com);
童科挺(1988—),男,浙江人,博士生,主要从事组合结构研究(E-mail: tongketing@nbu.edu.cn);
郭 军(1988—),男,安徽人,硕士生,主要从事组合结构研究(E-mail: gj22121x@163.com);
邬 沛(1994—),女,山西人,硕士生,主要从事组合结构研究(E-mail: 18903504125@163.com).