易 江,莫金生,李建中
(同济大学土木工程防灾国家重点实验室,上海 200092)
摘 要:为考虑地震作用下斜拉桥拉索的垂度效应,常规方法是将拉索模拟为弹性单元,根据恒载索力修正单元材料的弹性模量;但该方法忽略了索力变化对拉索轴向刚度的影响,也未考虑强震中可能出现的拉索松弛现象。该文先给出了三种不同的拉索应力-应变方程,然后以一座独塔斜拉桥为背景,通过赋予拉索不同的应力-应变关系建立了三个非线性有限元模型,研究了强震作用下拉索的地震响应和拉索松弛现象。结果表明:在近场地震作用下,拉索索力变化幅度较大,部分拉索有可能出现松弛现象;拉索松弛后,出现松弛的拉索最小索力不再减小,最大索力继续增加;对于整个结构而言,拉索松弛只是局部响应的变化,对梁体位移和塔柱受力等地震响应的影响有限;但地震中不考虑索力变化对拉索轴向刚度的影响可能低估结构的地震响应,最大偏差可达到20%。
关键词:斜拉桥;抗震分析;拉索非线性;拉索松弛;强震作用
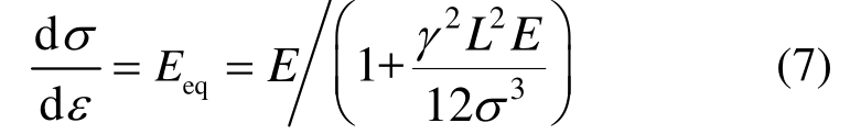
由于外型美观、结构受力合理,斜拉桥被广泛应用于交通运输工程,其抗震性能得到较多关注和研究。拉索是斜拉桥重要传力构件,在地震作用下,主梁部分乃至全部惯性力通过拉索传递给塔柱[1],拉索力学性能对斜拉桥抗震性能影响较大[2]。拉索是柔性材料,在自重和轴力作用下将产生垂度;在张拉时,索的伸长量包括弹性伸长以及克服垂度所带来的伸长,造成索拉力与伸长量的几何非线性,即垂度效应。许多学者研究了地震作用下拉索的垂度效应[3-5],并取得了较成熟的模拟方法:把拉索模拟为弹性单元,根据成桥索力采用 Ernst公式[6]修正单元材料的弹性模量。该方法不考虑地震中拉索索力变化对轴向刚度的影响,假定地震中拉索轴向刚度保持不变。
近年数次大地震,如阪神(1995)、集集(1999)和东海(2011)地震,都记录到了一些加速度峰值较大、可能包含明显速度脉冲的强烈地震动[7]。在强震作用下,拉索索力变化幅度增大,拉索可能出现松弛或损伤现象。如在 1995年日本阪神地震中,Higashi-Kobe斜拉桥的拉索出现了松弛现象[8];在1999年集集地震中集鹿大桥的一根拉索锚固失效[9];另外,在一座独塔斜拉桥振动台试验中,拉索锚头出现损伤现象[10]。当拉索索力变化较大时,拉索轴向刚度变化幅度增加;特别是当拉索出现松弛后,拉索的轴向刚度大幅度降低。文献[11]研究了单根拉索的松弛现象;文献[12]进一步研究了拉索松弛现象对混凝土斜拉桥地震响应的影响,但对拉索模拟时没有考虑拉索轴向刚度随轴力变化的影响。本文首先基于不同的假定,给出了地震作用下三种拉索应力应变方程;然后以一座独塔斜拉桥为工程背景,通过赋予拉索不同的应力-应变关系建立了三个非线性有限元模型;采用非线性时程分析方法对背景工程进行抗震分析,研究了强震作用下拉索的地震响应和拉索松弛现象;最后,探讨了地震中拉索轴向刚度变化和拉索松弛对斜拉桥地震响应的影响。
拉索在自重和轴力作用下的曲线为悬链线,如图1所示。为了简便计算,目前常用的方法是用图1中连接拉索两端的等效直线代替拉索实际变形曲线,利用Ernst公式[6]修正拉索的弹性模量来考虑拉索的垂度效应。Ernst公式为:
式中:Eeq为索的等效弹性模量;E为索材料的弹性模量;γ为索的容重;L为索的水平投影;σ为拉索的拉应力。研究表明Ernst公式满足式(2)时,具有足够高的精度[13]:
式中,r为拉索的垂度,计算公式为:

图1 拉索的垂度效应
Fig.1 Sag effects of cables
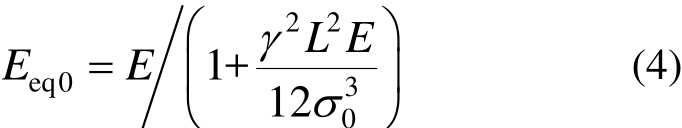
考虑到斜拉桥在成桥状态,拉索承担一定的拉应力。目前常规方法是假设地震中拉索的索力变化对拉索刚度的影响较小,拉索刚度保持为拉索成桥时的刚度:
式中:Eeq0为拉索成桥状态的等效弹性模量;0σ为拉索成桥状态时的拉应力。
定义拉索的等效应变(以下简称为应变)为ε=δ/Le ,式中δ为拉索伸长量,Le为拉索无应力长度。由式(1)可得拉索线性应力-应变关系:
在采用式(3)定义拉索应力-应变关系时,当拉索应力变化幅度较大时,拉索将出现负应力。但实际上,拉索不能承担压力,当拉索应力降为0时,拉索将出现松弛现象。拉索松弛产生的机理是:在成桥状态,拉索都有预拉力(成桥索力);地震作用下,拉索可能产生动压力或动拉力;当地震作用产生的拉索动压力小于拉索成桥索力时,拉索可以承受动压力;当地震动压力大于拉索成桥索力,拉索将产生松弛,不能继续承受动压力。考虑拉索松弛效应,拉索应力-应变关系为:

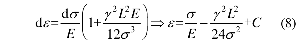
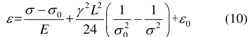
线性方程和松弛方程均只考虑了成桥索力对拉索弹性模量的影响,忽略了索力变化对拉索轴向刚度的影响。而实际上,在地震作用下,拉索索力是在不断变化的,拉索的等效弹性模量随之改变。根据式(1),对于任意的拉索应力σ有:
即:
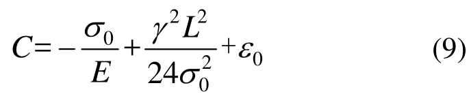
以斜拉桥成桥状态拉索应力σ0和应变ε0(ε0 =σ0 /Eeq0)为基准,可得:
将式(9)代入式(8),可得变刚度的拉索应力-应变关系为:
从上面分析可知,线性方程忽略了索力变化对拉索轴向刚度的影响,也未考虑强震中可能出现的拉索松弛现象。松弛方程考虑强震中可能出现的拉索松弛现象,但忽略了索力变化对拉索轴向刚度的影响。变刚度方程可同时考虑强震中可能出现的拉索松弛现象和索力变化对拉索轴向刚度的影响。
根据表1所给拉索设计参数(图3的C17索),图 2给出了三个方程计算得到的拉索应力-应变曲线。可见,线性方程的拉索等效弹性模量不随拉索应力的改变而变化,拉索应力可以达到负值;但实际上拉索不能承受压力的,这说明线性方程与拉索实际力学特性有偏差。松弛方程是在线性方程基础上,考虑了拉索不能受压的特点:当线性方程拉索应力σ>0时,松弛方程应力-应变关系与线性方程相同;当线性方程拉索应力σ<0时,松弛方程拉索应力取为 0。变刚度方程的拉索应力均大于 0:当拉索应力很小时,等效弹性模量接近于 0;随着拉索应力的增加,等效弹性模量逐渐增大;当拉索应力较大时,由式(1)可知等效弹性模量接近于材料实际弹性模量E。对比变刚度方程和常规方程,当σ= 200 MPa~800 MPa时,两个方程的拉索应力-应变曲线差别较小;当σ<200 MPa或σ>800 MPa时,对于同样的拉索应变,变刚度方程对应的拉索应力大于线性方程。
表1 拉索设计参数
Table 1 Design parameters of the cable

图2 拉索应力-应变方程比较
Fig.2 Comparison of stress-strain formulations for cables
某独塔斜拉桥为采用半漂浮体系的等跨双索面斜拉桥,跨径分布为230 m+230 m。桥塔为倒Y形C50混凝土塔,塔高150 m,塔底两塔柱中心距为 60 m。主梁为全封闭流线型扁平钢箱梁,梁高3.2 m,宽 34 m。过渡墩为门式框架双柱墩,墩高34 m,混凝土材料为C40。主梁在主塔和过渡墩处均设置纵向滑动摩擦支座,主梁横向被抗风支座约束。全桥采用4×17=68根拉索支承主梁,拉索为平行钢丝索,拉索抗拉强度为1670 MPa。图3给出了背景工程的总体布置图;为了便于后续说明,图 3对单侧拉索从塔柱-过渡墩进行了C1~C17编号。表2给出了拉索的设计参数,其中,拉索成桥应力均在450 MPa~550 MPa。
采用加州大学伯克利分校开发的结构分析程序Open System for Earthquake Engineering Simulation(OpenSees)[14]建立背景工程的全桥有限元模型,具体建模方法如下。
由于大桥场地条件较好,主塔塔底、各墩底均固定约束,不考虑基础对全桥地震响应的影响。为了考虑材料非线性的影响,桥塔交叉点以下塔柱、过渡墩采用基于力的非线性纤维梁柱单元(Force-Beam-Column)来模拟,单元纤维根据实际截面的配筋情况分别赋予钢筋和混凝土的本构关系。其中,钢筋本构采用双线性模型模拟,屈服强度为400 MPa,弹性模量为200 GPa,硬化率为0.01;混凝土本构采用 Kent-Scott-Park[15]应力-应变关系模拟。图4给出了钢筋和约束混凝土本构关系。另外,为考虑剪切效应,对纤维梁柱单元截面赋予剪切刚度,其值为混凝土剪切模量和截面剪切面积的乘积。

图3 背景工程总体布置图 /m
Fig.3 General configurations of the background bridge
表2 全部拉索的设计参数
Table 2 Design parameters for all cables

桥塔交叉点以上的塔柱、主梁等采用空间弹性梁单元模拟,单元长度约为3 m~5 m。主梁、过渡墩和主塔均考虑了单元初始内力对几何刚度矩阵的影响(P-Δ效应)。过渡墩和主塔处的纵向滑动支座均用理想弹塑性连接单元模拟,支座摩阻系数取0.02[16];支座横向和竖向全部固定。

图4 钢筋和混凝土本构关系
Fig.4 Constitutive model of reinforced bars and concrete
拉索采用杆单元模拟。为了考虑拉索模拟方法对结构地震响应的影响,本文通过赋予拉索材料不同的应力应变关系建立了如下三个有限元模型。
1) 线性模型。拉索材料的应力-应变关系由线性方程定义。
2) 松弛模型。拉索材料的应力-应变关系由松弛方程定义。
3) 变刚度模型。拉索材料的应力-应变关系由变刚度方程定义。
全桥有限元模型如图5所示。最终,全桥共建立了208个节点、108个非线性梁柱单元、109个弹性梁单元和 68个桁架单元。在模型中,总体坐标系以顺桥向为x轴,横桥向为y轴,竖向为z轴。

图5 有限元模型
Fig.5 Finite element model
在进行时程分析前,先进行自重分析,确保时程分析初始状态为斜拉桥的成桥状态[5]。在自重分析时,通过调整拉索初始应变的方法将索力调到成桥状态时的索力[17],拉索初始应变的计算方法如下。
1) 去除已有斜拉桥模型中的拉索,将索力施加到索-梁锚固点和索-塔锚固点处,计算恒载作用下索-梁锚固点与索-塔锚固点的节点位移。
2) 将模型中的节点坐标(x,y,z)与节点位移叠加,得到变形后的节点坐标(x1,y1,z1),通过变形后的节点坐标求恒载作用下的索长l1。
3) 由l1 =Nl0 /Ee q 0 A + l 0得无应力索长 l0,式中Ee q 0为根据式(2)计算得到的拉索等效弹性模量。
4) 计算拉索初应变 ε1 =- ( l - l 0 ) /l1,其中l为模型节点坐标(建模时的坐标)所求的索长。
在施加拉索初应变后,对背景工程进行自重分析,三个模型计算得到的成桥索力与设计索力误差均在0.5%范围内。
根据2.2节建立的线性模型,对背景工程进行模态分析,表3给出了模型前5阶的动力特性。可见,背景工程斜拉桥除了第一阶为主梁纵飘外,其他的前几阶阵型均为主梁竖弯。
表3 斜拉桥动力特性
Table 3 Dynamic characteristics of the cable-stayed bridge

为研究强震作用下斜拉桥的地震响应,根据实际桥址场地类型,本文从太平洋地震工程中心的Ⅱ类场地地震波数据库,选择了4条地面加速度峰值较大的实测记录作为地震输入,如表4所示。其中,北岭(Northbridge)和阪神(Kobe)地震波是具有较为明显速度脉冲的近场地震动,而帝谷(Imperial Valley)和加兹利(Gazli, USSR)地震波是典型的中远场地震动。图6给出了4条地震波加速度峰值调整至1.0 g的加速度反应谱(5%阻尼比)。地震分析时,将每一条地震波的地面加速度峰值从 0.1 g逐步调整到1.0 g,对背景工程进行非线性时程分析。
表4 选取的地震动
Table 4 Selected earthquake inputs


图6 加速度峰值调整至1.0 g的加速度反应谱(阻尼比5%)
Fig.6 Acceleration response spectral after scaling PGA to 1.0 g (5% damping)
首先确定拉索的整体地震响应特点。图7给出了不同地震波 1.0 g作用下规则化索力包络图,其中规则化索力是将各拉索的索力响应分别除以该拉索的成桥索力。从图7可以看出,在北岭波和阪神波作用下,松弛模型计算得到的部分拉索最小索力为零,表明这些拉索出现了松弛现象;其中,北岭波作用下,C2~C8索出现了松弛现象,在阪神地震作用下,C3~C7索出现了松弛现象。在帝谷波和加兹利波作用下拉索索力均大于 0,没有出现松弛现象。可见,由于速度脉冲的影响,近场地震动对拉索索力激励程度明显,使得拉索索力变化幅度大于远场地震动。
另外,从图7可知,对于出现松弛的拉索,三个模型计算得到的拉索索力最小值有较大的差别:变刚度模型索力最小值为略大于0的正值;松弛模型的索力最小值保持为 0,接近于变刚度模型的计算结果;而线性模型索力最小值小于 0,且可能出现远小于0的情况,如北岭波作用下C4索最小索力达到-0.5倍的成桥索力。由于拉索实际上是不能承受压力的,线性模型没有正确模拟拉索的力学特性。而对于未出现松弛的拉索,三个模型计算出的索力包络图相似,其中松弛模型计算结果和线性模型一致,但变刚度模型计算结果与线性模型略有差别。
需要注意的是,根据变刚度模型计算结果,C4索最小索力为107 kN,对应的拉索应力为25.5 MPa,由式(3)可知 r /L = 0.0025 < 0 .4,满足Ernst公式适用条件,说明可以采用变刚度方程模拟斜拉索的应力-应变曲线。

图7 各地震波作用下拉索规则化索力包络图(PGA=1.0 g)
Fig.7 Normalized cable force envelop for cables under each earthquake ground motion
以北岭波为例,图8给出了C4索规则化索力随PGA的变化关系。从图8可知,C4索在PGA≥0.7 g时拉索将出现松弛现象。在拉索松弛前(PGA<0.7 g),三个模型计算得到的拉索索力最小值基本相同。拉索松弛后(PGA>0.7 g),三个模型计算得到的最小索力差别较大,如PGA=1.0 g时,线性模型和松弛模型分别较变刚度模型相差 0.60倍和0.06倍的成桥索力。另一方面,在拉索松弛前和松弛后,三个模型计算得到的拉索最大索力基本相同,均随输入 PGA的增大而增加,在 PGA=1.0 g时,约达到2.5倍的成桥索;此时线性模型和松弛模型分别比变刚度模型约小0.07和0.01倍的成桥索力。可见,拉索松弛对拉索最大拉力的影响较小。

图8 北岭波作用下C4规则化索力与PGA的关系
Fig.8 The relationship of normalized cable force for C4 and PGA under Northbridge earthquake inputs
图9给出了北岭波作用下C4索的规则化索力时程。图9(a)表明,PGA=0.5 g时,拉索不松弛,线性模型和松弛模型振动保持一致,略滞后于变刚度模型。图9(b)表明,PGA=1.0 g时,C4索出现了4次拉索松弛现象。在拉索松弛阶段,线性模型振动与变刚度模型有较大的差异,松弛模型振动接近于变刚度模型;在拉索未松弛阶段,线性模型和松弛模型振动基本一致,均略偏离于变刚度模型。但总体上看,拉索松弛前后,三个模型计算得到的索力时程变化特征相近,振动峰值相差不大。
图 10给出了北岭波 1.0 g作用下梁体纵向位移、竖向位移、塔底弯矩和塔底剪力等响应时程。在北岭波1.0 g作用下,根据图9可知拉索出现了松弛现象,但图 10表明,线性模型和松弛模型的各时程响应基本一致,表明拉索松弛对梁体位移、塔柱受力等地震响应无明显的影响。出现这种现象的原因主要有如下两个方面:1) 由图7(a)可知,出现松弛现象的拉索仅局限于部分拉索;2) 对于整个结构而言,拉索松弛只是局部响应的变化,对结构

图9 北岭波作用下C4规则化索力时程
Fig.9 Time history response of normalized cable force for C4 under Northbridge earthquake inputs

图10 北岭波作用下(1.0 g)结构时程响应
Fig.10 Time history response of the structure under Northbridge earthquake input (PGA=1.0 g)
整体地震响应的影响有限。另一方面,线性模型和变刚度模型的时程响应结果有一定的差别,线性模型振动略滞后于变刚度模型,表明地震中拉索刚度随索力的变化会对梁体位移和塔柱受力等地震响应产生一定的影响。

图11 线性模型计算结构地震响应的偏差
Fig.11 The deviation of structural seismic response calculated by Linear model
由于变刚度方程反映了拉索实际的应力-应变关系,变刚度模型计算得到的是结构真实的地震响应。图 11给出了线性模型得到的梁端位移、梁体竖向位移、塔底弯矩和塔底剪力等地震响应幅值相对于变刚度模型的比值。从图 11可知,不同地震波和在不同 PGA作用下,线性模型与变刚度模型偏差的离散型较大,没有明显的规律。总的来看,在所有地震波作用下,线性模型计算得到的梁端纵向位移与变刚度模型偏差在-10%~10%,跨中梁体竖向位移偏差在-10%~5%,塔底弯矩偏差在-20%~10%,塔底剪力偏差在-20%~5%。可见,线性模型由于不考虑地震中索力变化对拉索刚度的影响,可能一定程度低估结构的地震响应,最大偏差达到20%左右。
本文主要研究了地震作用下拉索的松弛现象及其对斜拉桥地震响应的影响,得到如下结论:
(1) 由于垂度效应的影响,拉索的等效弹性模量随着拉索应力的变化而改变。常规方法采用基于成桥索力的等效弹性模量,忽略了拉索等效弹性模量的变化,也未考虑可能出现的拉索松弛现象。当拉索应力变化较大时,常规方法模拟的拉索应力-应变关系与实际存在较大的偏差。
(2) 由于速度脉冲的影响,近场地震动作用下拉索索力变化幅度较大,部分拉索出现松弛现象。而远场地震动作用下拉索索力变化幅度小于近场地震动,拉索未松弛。
(3) 拉索松弛后,拉索实际最小索力基本不再减小,但最大索力随输入 PGA的增大继续增加,最大可能达到2.5倍的成桥索力。对于整个结构而言,拉索松弛只是局部响应的变化,对梁体位移和塔柱受力等地震响应的影响有限。
(4) 地震中不考虑索力变化对拉索轴向刚度的影响可能低估梁体位移、塔柱受力等地震响应,最大偏差达到20%左右。在结构精细化分析时,有必要考虑地震中索力变化对拉索轴向刚度的影响。
参考文献:
[1] 姚玲森. 桥梁工程 [M]. 第2版. 北京:人民交通出版社, 2008.Yao Linsen. Bridge Engineering [M]. 2nd ed. Beijing:China Communication Press, 2008. (in Chinese)
[2] 吴庆雄, 王文平, 陈宝春. 多索—梁结构固有振动特性分析[J]. 工程力学, 2017, 34(1): 109―116.Wu Qingxiong, Wang Wenping, Chen Baochun. Natural vibration analysis of multi-cables-stayed beam structures[J]. Engineering Mechanics, 2017, 34(1): 109―116. (in Chinese)
[3] Nazmy A S, Abdel-Ghaffar A M. Non-linear earthquakeresponse analysis of long-span cable-stayed bridges:Theory [J]. Earthquake Engineering & Structural Dynamics, 1990, 19(1): 45―62.
[4] Nazmy A S, Abdel-Ghaffar A M. Non-linear earthquakeresponse analysis of long-span cable-stayed bridges:Applications [J]. Earthquake Engineering & Structural Dynamics, 1990, 19(1): 63―76.
[5] Ren W X, Obata M. Elastic-plastic seismic behavior of long span cable-stayed bridges [J]. Journal of Bridge Engineering, 1999, 4(3): 194―203.
[6] Ernst H J. Der E-Modul von Seilen unter berucksichtigung des Durchhanges [J]. Der Bauingenieur, 1965, 40(2): 52―55.
[7] Mavroeidis G P. A Mathematical representation of near-fault ground motions [J]. Bulletin of the Seismological Society of America, 2003, 93(3): 1099―1131.
[8] Gheorghiu C, Yamazaki F, Ishizaki H. Seismic response of the Higashi-Kobe bridge in the 1995 Hyogoken-Nanbu earthquake [J]. Japan Earthquake Engineering Symposium, 1998, 98(31): 23―39.
[9] Chang K C, Mo Y L, Chen C C, et al. Lessons learned from the damaged Chi-Lu cable-stayed bridge [J].Journal of Bridge Engineering, 2004, 9(4): 343―352.
[10] 宗周红, 黄学漾, 黎雅乐, 等. 强震作用下斜拉桥模型的倒塌破坏模式[J]. 中国科技论文, 2016, 11(7): 721―727.Zong Zhouhong, Huang Xueyang, Li Yale, et al.Evaluation of the collapse failure modes of cable-stayed bridge model under strong earthquake excitations [J].China Science Paper, 2016, 11(7):721―727. (in Chinese)[11] Wu Q, Takahashi K, Nakamura S. Non-linear response of cables subjected to periodic support excitation considering cable loosening [J]. Journal of Sound and Vibration, 2004, 271(1): 453―463.
[12] Wu Q, Takahashi K, Nakamura S. The effect of cable loosening on seismic response of a prestressed concrete cable-stayed bridge [J]. Journal of Sound and Vibration,2003, 268(1): 71―84.
[13] Gimsing N J, Georgakis C T. Cable supported bridges:concept and design [M]. John Wiley & Sons, 2011: 83―83.
[14] Mazzoni S, McKenna F, Scott M H, Fenves G L. Open system for earthquake engineering simulation (OpenSees):opensees command language manual [M]. Pacific Earthquake Engineering Center, University of California,Berkeley, 2007.
[15] Kent D C, Park R. Flexural members with confined concrete [J]. Journal of the Structural Division, 1971,97(1): 1969―1990.
[16] CJJ 166―2011, 城市桥梁抗震设计规范[S]. 北京: 中国建筑工业出版社, 2011.CJJ 166―2011, Code for seismic design of unban bridges [S]. Beijing: China Architecture & Building Press, 2011. (in Chinese)
[17] 夏修身, 李建中, 管仲国, 等. 斜拉桥桥塔非线性抗震性能研究[J]. 中国公路学报, 2016, 29(3): 66―72.
Xia Xiushen, Li Jianzhong, Guan Zhongguo, et al.Nonlinear seismic performance investigation of cable-stayed bridge [J]. China Journal of Highway and Transport, 2016, 29(3): 66―72. (in Chinese)
STUDY ON CABLE RELAXATION OF SIGNLE-TOWER CABLE-STAYED BRIDGE DUE TO STRONG EARTHQUAKES
YI Jiang , MO Jin-sheng , LI Jian-zhong
(State Key Laboratory for Disaster Reduction of Civil Engineering, Tongji University, Shanghai 200092, China)
Abstract: To consider cables’ sag effects of cable-stayed bridges due to earthquakes, the common approach is to model cables as elastic elements by modifying its elastic modulus according to the cable force under dead load.However, this approach ignored the influence of the cable force on the variation of cables’ axial stiffness and that cable relaxation might occur under strong earthquake. This paper firstly presented three different formulations of stress-strain relationship for cables. Based on a single-tower cable-stayed bridge, three nonlinear finite element models were then established by applying different stress-strain relationships of cables. The seismic response of cables and cable relaxation were then studied under near-fault ground motions. Analytical results revealed that large varying cable forces were detected under strong earthquakes and some of the cables experienced cable relaxation. After cable relaxation, the minimum cable force of the cables with cable relaxation no longer decreased while the maximum cable force continued to increase. For the whole structure, cable relaxation was restricted to influence local response and limitedly affected the deck displacement and tower force. However, the seismic response of the structure might be underestimated if the changing axial stiffness from a varying cable force was not considered, with the maximum error reaching 20%.
Key words: cable-stayed bridge; seismic analysis; nonlinearity of cables; cable relaxation; strong earthquake
中图分类号:U442.5+5; U448.27
文献标志码:A
doi: 10.6052/j.issn.1000-4750.2017.02.0143
文章编号:1000-4750(2018)06-0097-08
收稿日期:2017-02-23;修改日期:2017-08-30
基金项目:中国工程院咨询研究项目:海洋桥梁工程技术发展战略研究(2016-XZ-13)
通讯作者:李建中(1963―),男(土家族),湖北人,教授,博士,博导,主要从事桥梁抗震研究(E-mail: 0001@tongji.edu.cn).
作者简介:易 江(1990―),男(土家族),湖北人,博士生,主要从事桥梁抗震研究(E-mail: 1310225@tongji.edu.cn);
莫金生(1992―),男,重庆人,硕士生,主要从事桥梁抗震研究(E-mail: jinshenmo@tongji.edu.cn).